
이전글
2023.01.28 - [토질역학] - 7급 공무원 토질역학 공부법 1탄
7급 공무원 토질역학 공부법 1탄
1. 들어가기 앞서 7급 공무원 토목직에서 토질역학과 수리수문학을 잘해야 시험에 합격할 확률이 높아진다. 첫번째로 응용역학은 9급과 달리 7급은 생각할 것도 많고 활용도 많이해서 제때 풀어
sharpbrain94.tistory.com
3. 단원별 출제포인트
3.1. 흙의 성질
- 흙의 물리, 풍화, 용해작용에 의해 흙의 생성원인과 흙 생성형태, 점토광물 등을 묻는 단원인데 토질역학의 아주 기본기이다. 솔직히 별로 안 중요해 보이지만, 초반에 기본기를 잘해놓지 않으면 나중에 응용문제가 잘 안 풀린다. 공부할 것들을 나열해 보면
<점토광물>
ㅇ 카올리나이트(Kaolinite)
ㅇ 일라이트(Illite)
ㅇ 몬모릴로나이트(Montmorillonite)
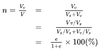
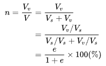
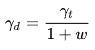
3.1.1. 기본공식★★★
| 정의 | 단위중량 | ||
| 간극비 | ![]() |
포화 | ![]() |
| 간극율 | ![]() |
습윤 | ![]() |
| 포화도 | ![]() |
건조 | ![]() |
| 함수비 | ![]() |
수중 | |
| 관계식 | |||
![]() |
|||
![]() |
|||
3.1.2. 액성한계, 소성한계
이 둘을 통해 흙을 분류할 수 있고 액성지수, 압축지수, 압밀계수, 활성도까지 알 수가 있다. 이를 종합해서 고난도의 문제가 나오기도 하므로 자주 나오지는 않지만 이것을 이해해야 흙을 분류하고 전체적으로 이해하는데 도움이 된다.
3.1.3. 입도시험
입도시험을 통해 흙을 분류를 하게 되고 이를 통해 균등계수, 곡률계수, 투수계수까지 나아가고 수리수문학과 연계되는 모관상승고까지 알 수 있게 된다.
3.1.3. 흙 시험
흙 시험을 통해 함수비, 비중, 액성한계, 소성한계를 알 수 있는 시험이 있고 구체적으로 알 필요는 없지만 시험이 어떻게 진행되는지 순서, 목적 등을 알 필요가 있다.
3.1.4. 통일분류법
통일 분류법을 잘해야 하는 것이 고난도 문제가 통일분류법이다. 흙을 총 24가지로 분류를 할 수 있으며
문자마다 의미를 첫 번째로 알아두어야 한다. 그리고 분류기호를 외우고 이에 따라 흙을 어디에 적용할 수 있는지, 문제점이 무엇인지 특징까지 알아두어야 한다.
한 번에 마스터하는 것이 아니라 차근차근 잘해두어야 한다.
3.1.5. 조립토와 세립토★
조립토와 세립토에 따라서 일어나는 파이핑현상, 히빙현상, 액상화, 강도저하, 소성, 배수·비배수, 예민비 등 조립토와 세립토의 특징으로 물어보는 문제가 정말 많다. 그러므로 조립토와 세립토에 대한 모든 특징을 암기하고 있어야 한다. 이것도 한 번에 하는 것이 아니라 문제를 풀다 보면 자연스럽게 알게 되고 그리고 공부를 하면 할수록 공부할 것이 많다는 것을 느끼게 될 것이라 본다.
3.1.6.영공기간극곡선
다짐에 대한 그래프가 나올 때 영공기간극곡선의 특징을 물어보는 문제가 기사와 공무원시험에 둘 다 나온다. 그리고 다짐그래프를 보고 특징을 암기하고 이것이 어떻게 적용되는지 이해하는 능력이 필요하다.
3.2. 다짐
3.2.1. 압밀과 다짐★★★
압밀과 다짐에 대해 비교하는 문제는 나오지는 않지만 압밀과 다짐을 확실하게 구분해두어야 한다.
구분해야 하는 것은 함수비와 배출하는 것, 시간적 요소, 특징 이렇게 크게 4가지를 구분해야 하며
나중에 공부하다 보면 둘이 비슷해 보인다.
하지만 확실하게 다르다는 것을 알아두어야 한다.
3.2.2. 관련된 용어정리★
다짐곡선, 영공기간극곡선, 최적함수비선 등을 알고 있어야 다짐의 특징을 이해하는데 편하다.
이 곡선에 따라 최대건조밀도와 최적함수비를 알게 되고 여기서 상대밀도, 다짐도까지 연결된다.
여기서 더 공부를 하면 CBR까지 공부하게 되는데 이것은 군무원 7급에서 가끔씩 출제되곤 한다.
공무원 시험에서는 크게 출제가 되지 않으니 눈으로 훑는 정도로 끝내자.
3.2.3. 그래프 건조 측 습윤 측 비교★★
흙은 습윤 측에서 다지느냐 건조 측에서 다지느냐 이 둘에 따라서 선지를 7개까지 만들 수 있다.
투수성, 압축성, 구조, 강도, 탄성계수, 체적팽창, 파괴 시 간극수압
습윤 측 특징의 반대가 건조 측 특징이 되지만 둘 다 암기하고 명확하게 정리해두어야 한다.
면모구조와 습윤구조를 나눌 때 앞에서 배운 점토광물 개념이 들어가니 앞의 내용이 잘 학습되어 있어야 한다.
3탄에서 계속
'7급 토목직 풀이' 카테고리의 다른 글
| 7급 공무원 토질역학 공부법 4탄(단원별 출제포인트) (0) | 2023.02.19 |
|---|---|
| 7급 공무원 토질역학 공부법 3탄(단원별 출제포인트) (0) | 2023.02.05 |
| 7급 공무원 토질역학 공부법 1탄 (5) | 2023.01.28 |













