728x90

제1장 흙의 성질
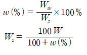
1. 함수비

2. 간극비(e)


3. 간극률

4. 흙의 비중

5. 상대밀도

6. 포화도(S)

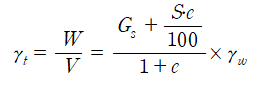
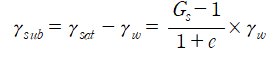
7. 단위중량
① 총단위중량

② 건조 단위중량

③ 포화 단위중량

④ 수중 단위중량

8. 수축한계시험

9. 흙의 연경도에서 얻어지는 지수

제2장 흙의 분류
1. 균등계수

2. 곡률계수

제3장 흙의 투수 및 배수
1. Darcy의 법칙

2. 투수계수

3. 평균투수계수

4. 투수계수와 간극비의 관계(사질토일 경우)

5. 모세관 현상

6. 유효응력의 개념

7. 상향침투인 경우의 간극수압

8. 침투압

9. 한계동수경사

10. 유선망

11. 동결깊이

제4장 압밀이론
1. 시간계수

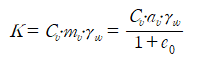
2. 압밀계수

3. 압밀도

4. 압밀 침하량

5. 투수계수

728x90
728x90
'기사 > 토목기사 건축기사' 카테고리의 다른 글
| 토목기사 필기 빈출문제(응용역학)-1 (1) | 2024.03.25 |
|---|---|
| 토목기사 토질역학 필수공식(2/2) (1) | 2024.03.22 |
| [토질역학] 액상화 방지 공법 (0) | 2024.02.28 |
| [토목기사/수리수문학] 유체의 기본 성질 (0) | 2024.02.17 |
| [건축기사] 건축물 완성 과정 (1) | 2024.02.13 |