728x90

제5장 전단강도
1. Mohr-Coulomb의 파괴이론

2. 경사면 응력

3. 파괴면과 주응력이 이루는 각

4. 일축 압축강도

5. N값의 이용


6. Vane shear test

7. 예민비

제6장 다 짐
1. 다짐에너지

2. 평판 재하시험

3. CBR시험

제7장 토 압
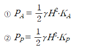
1. 토압계수

2. 옹벽에 작용하는 토압(지표면이 수평인 경우)

제8장 사면안정
1. 원호 활동면에 대한 안전율

2. 반무한사면의 안정해석

3. 복합 활동면의 안정해석

4. 한계고

5. 심도계수

H: 사면의 높이
D: 사면 잠재 파괴면의 깊이
제9장 기 초
1. 직접기초의 지지력

2. 평판 재하시험에 대한 허용지지력

3. 사질지반의 침하량

4. 말뚝의 지지력
(1) 정역학적 공식

(2) 동역학적 공식

5. 군항의 영향을 고려하지 않는 최소간격

6. 군항의 효율

7. 군항의 허용지지력

8. 부마찰력

9. 지반 내의 응력분포

728x90
728x90
'기사 > 토목기사 건축기사' 카테고리의 다른 글
| 토목기사 필기 빈출문제(수리수문)-1 (0) | 2024.03.26 |
|---|---|
| 토목기사 필기 빈출문제(응용역학)-1 (1) | 2024.03.25 |
| 토목기사 토질역학 필수공식(1/2) (0) | 2024.03.20 |
| [토질역학] 액상화 방지 공법 (0) | 2024.02.28 |
| [토목기사/수리수문학] 유체의 기본 성질 (0) | 2024.02.17 |