1. 동수경사선에 관한 설명 중 옳은 것은?
① 항상 에너지선 위에 있다.
② 항상 관로 위에 있다.
③ 항상 흐름방향에 따라 아래로 기울어 진다.
④ 에너지선에서 속도수두만큼 아래에 있다.
해설
- 동수경사선: 관로 내 한 지점에서 위치수두와 압력수두를 합하여 수평 기준면에서 연직으로 나타낸 점을 연결한 선입니다.
- 에너지선: 각 지점의 에너지를 그래프로 표현한 선으로, 위치수두, 압력수두, 속도수두를 합한 전수두를 나타냅니다.
① 수경사선은 에너지선 아래에 위치합니다. 에너지선은 동수경사선에 속도수두(동적인 에너지)가 추가된 위치에 해당합니다.
②동수경사선은 관로의 내부에 존재하며, 관로 위에 위치하지 않습니다. (동수경사선은 실제 관로의 물리적인 위치보다는 유체의 압력과 중력적 위치에 의해 결정되므로, 반드시 관로의 물리적 위치와 일치하지는 않습니다.)
③흐름 방향과 관계없이 동수경사선은 위치수두와 압력수두의 기울기를 나타냅니다.
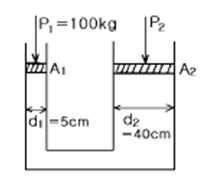
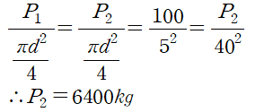
2.다음 그림에서 P1과 평형을 이루도록 하기 위해 P2에 작용 시켜야 할 힘은?

① 4,400㎏ ② 5,400㎏
③ 6,400㎏ ④ 7,400㎏
해설

3.가능최대강수량(Probable Maximum Precipitation)을 설명한 것 중 옳지 않은 것은?
① 수공구조물의 설계홍수량을 결정하는 기준으로 사용될 수 있다.
② 물리적으로 발생할 수 있는 강수량의 최대 한계치를 말한다.
③ 예전에 일어났던 호우정보들부터 통계적 방법을 통하여 결정할 수 있다.
④ 재현기간 200년을 넘는 확률 강수량만이 이에 해당 한다.
해설
① 가능최대강수량은 특히 대형 댐과 같은 수공구조물의 설계홍수량을 결정하는 데 사용되는 중요한 기준
② PMP는 특정 지역과 기후 조건 하에서 이론적으로 가능한 최대 강수량을 나타냅니다.
③ PMP는 단순히 통계적 방법에 의해서만 결정되는 것이 아니라, 기상학적인 극단 값과 함께 물리적 및 기상학적 과정을 근거로 결정됩니다. 통계적 방법은 사용되지만, 최대 강수 가능성을 평가하는 데 더 복잡하고 포괄적인 접근이 요구됩니다.
④ PMP는 재현기간과 관련 없이 계산되며, 이는 특정 재현기간을 초월하는 최대의 이론적 강수량을 의미합니다. 재현기간은 PMF(Probable Maximum Flood)나 설계홍수량에 더 적절하게 적용되는 개념입니다.
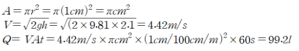
4. 유속계수가 0.82인 직경 2㎝의 표준단관의 수두가 2.1m일 때 1분간 유출량은?
① 1.65 ℓ ② 32.5 ℓ
③ 99.2 ℓ ④ 165 ℓ
해설

5.수심 2m, 폭 4m 인 콘크리트 직사각형수로의 유량은? (단, 조도계수 n = 0.012, 경사Ⅰ= 0.0009 임)
① 15m³/s ② 20m³/s
③ 25m³/s ④ 30m³/s
해설


'기사 > 토목기사 건축기사' 카테고리의 다른 글
| 토목기사 필기 빈출문제(토질역학)-2 (0) | 2024.04.17 |
|---|---|
| 토목기사 필기 빈출문제(응용역학)-2 (0) | 2024.04.08 |
| 토목기사 필기 빈출문제(철근콘크리트)-1 (0) | 2024.04.01 |
| 토목기사 필기 빈출문제(토질역학)-1 (0) | 2024.03.28 |
| 토목기사 필기 빈출문제(수리수문)-1 (0) | 2024.03.26 |