728x90

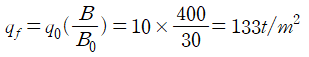
1. 모래지반에 30cm× 30cm의 재하판으로 재하실험을 한 결과 10t/m²의 극한 지지력을 얻었다. 4m× 4m의 기초를 설치할때 기대되는 극한지지력은?

    10t/m² 100t/m²

    133t/m² 154t/m²

 

해설

※점토지반 일경우

 

2. 선행압밀하중을 결정하기 위해서는 압밀시험을 행한 다음 어느 곡선으로부터 구할수 있는가?

    ① 간극비 - 압력(log 눈금)곡선

    압밀계수 - 압력(log 눈금)곡선

    일차 압밀비 - 압력(log 눈금)곡선

    이차 압밀계수 - 압력(log 눈금)곡선

 

해설

선행압밀하중(preconsolidation pressure)은 지반의 과거 최대 압밀하중을 의미하며, 지반의 과거 부하 이력을 판단하는 중요한 지표입니다. 이 값을 결정하기 위해 수행하는 압밀시험 결과를 해석할 때 가장 흔히 사용하는 그래프는 간극비 - 압력(log 눈금)곡선입니다.

간극비 대 로그 압력 그래프에서는 압력이 증가함에 따라 간극비가 감소하는 경향을 보이는데, 선행압밀하중은 이 그래프상에서 간극비의 감소가 갑자기 둔화되는 지점, 즉 곡선의 경사가 변하는 지점에서 찾을 수 있습니다. 이 지점은 토양이 과거에 경험했던 최대 압밀하중을 나타내며, 그 이상의 압력에서 토양의 간극비 감소가 더욱 가팔라지는 특성을 보입니다.

 

3.  Terzaghi는 포화점토에 대한 1차 압밀이론에서 수학적 해를 구하기 위하여 다음과 같은 가정을 하였다. 이 중 옳지 않은 것은?

    흙은 균질하다.

    흙입자와 물의 압축성은 무시한다.

    흙속에서의 물의 이동은 Darcy 법칙을 따른다.

    ④ 투수계수는 압력의 크기에 비례한다.

 

해설

투수계수는 압력의 크기에 비례한다 - 이는 테르자기의 압밀 이론에 반하는 내용입니다. 테르자기의 이론에서는 투수계수가 일정하다고 가정합니다. 투수계수가 압력에 따라 변한다는 가정은 실제 상황에서도 논란의 여지가 있으며, 일반적으로 투수계수는 주어진 토양의 특성에 따라 결정되고, 이는 필연적으로 일정하지는 않지만, 압밀 이론에서는 변하지 않는 값으로 다루어집니다.

 

4.다짐에 대한 다음 사항중 옳지 않은 것은?

    ① 점토분이 많은 흙은 일반적으로 최적함수비가 낮다.

    사질토는 일반적으로 건조밀도가 높다.

    입도배합이 양호한 흙은 일반적으로 최적함수비가 낮다.

    점토분이 많은 흙은 일반적으로 다짐곡선의 기울기가 완만하다.

 

해설

점토분이 많은 흙은 일반적으로 최적함수비가 낮다 - 이 주장은 일반적으로 올바르지 않습니다. 실제로는 점토분이 많은 흙은 더 높은 최적함수비를 가지는 경향이 있습니다. 점토는 물을 보유하는 능력이 높기 때문에 더 많은 물을 필요로 하며, 이는 최적함수비를 높게 만듭니다.

 

사질토는 일반적으로 건조밀도가 높다 - 이는 올바른 설명입니다. 사질토는 큰 입자로 구성되어 있어 잘 다져지면 상대적으로 높은 건조밀도를 가집니다.

 

입도배합이 양호한 흙은 일반적으로 최적함수비가 낮다 - 이는 올바른 설명입니다. 잘 배합된 입도는 공극이 적어 더 적은 물로도 잘 다질 수 있기 때문에 최적함수비가 낮습니다.

 

점토분이 많은 흙은 일반적으로 다짐곡선의 기울기가 완만하다 - 이는 올바른 설명입니다. 점토는 물의 영향을 많이 받으며 물의 양에 따라 밀도가 크게 변하지 않습니다. 이로 인해 다짐곡선의 기울기가 완만합니다.

 

특징
조립토일수록 다짐 곡선은 급하고, 세립토일수록 다짐 곡선은 완만하다.
사질토에서는 최대 건조 밀도가 증가하고, 최적 함수비는 감소한다.
즉 곡선이 직교 좌표의 왼쪽 상방향에 그려지게 된다.
점토분이 많은 흙은 최대 건조 밀도가 감소하고, 최적 함수비는 증가한다.
즉 곡선이 직교 좌표의 오른쪽 하방향에 그려지게 된다.

양입도의 흙에서는 건조밀도가 높고 최적 함수비는 낮다.
즉 곡선이 직교 좌표의 왼쪽 상방향에 그려지게 된다.사질토의 다짐일량이 점질토의 다짐일량보다 크다.최적 함수비보다 약간 건조측에서 전단 강도가 최대가 된다.

최적 함수비보다 약간 습윤측에서 투수 계수가 최소가 된다.
건조측에서 다지면 팽창성이 크고, 최적 함수비에서 다지면 팽창성이 최소이다.
건조측에서 다지면 면모 구조가 되고, 습윤측에서 다지면 이산 구조가 된다.

 

 

5. 어떤 흙의 전단실험결과 C=1.8kg/cm², φ=35, 토립자에 작용하는 수직응력 σ =3.6kg/cm²일 때 전단강도는?

    4.89kg/cm² 4.32kg/cm²

    6.33kg/cm²  3.86kg/cm²

 

해설

728x90
728x90

+ Recent posts