728x90

1. 그림과 같은 부정정보에서 B지점의 수직반력의 크기[kN]는?
(단, 보의 자중은 무시하며, 휨강성 EI는 일정하다)

① 10
② 20
③ 30
④ 40
난이도
난이도 하
해설
등분포 하중이 가해질 때 처짐과 B지점의 반력으로 인한 처짐의 차이가 0이 되면 반력을 구할 수 있다

공식은 외워두는게 좋다
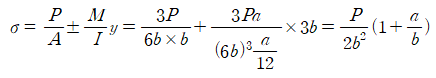
2. 그림과 같이 직사각형 단면을 가지는 단주가 있다. 도심으로부터 a만큼 일축 편심되어 수직하중 3P가 작용할 때, C점에서 발생하는 수직응력의 크기는? (단, 기둥의 자중은 무시한다)

난이도
난이도 중
해설

3. 그림과 같이 동일한 크기의 등분포하중 w를 받고 있는 두 개의 탄성보가 있다. 탄성보(a)의 최대 정모멘트의 크기가 10kNㆍm이면, 탄성보(b)의 최대 정모멘트의 크기[kNㆍm]는? (단, 두 보의 자중은 무시하며, 휨강성 EI는 일정하다)

① 10
② 20
③ 30
④ 40
난이도 및 평가
난이도 중
해설

공식 암기 필수
4. 그림과 같은 3경간 연속보에서 중앙점인 C점의 정성적인 휨모멘트의 영향선은? (단, 보의 휨강성 EI는 일정하다)

난이도 및 평가
난이도 상
해설
5. 그림과 같이 탄성 케이블의 중앙에 수직하중 P가 작용하는 케이블에 40MPa의 인장응력이 발생할 때, 수직하중 P의 크기[kN]는? (단, 케이블의 단면적은 2,500mm²이며, 케이블의 자중은 무시한다)

난이도 및 평가
난이도 중
해설

문제가 그나마 깔끔하게 나온게
피타고라스가 3:4:5로 나와서
y방향의 반력과 케이블의 인장력 비율이
3:5로 계산하면 금방나온다.
728x90
728x90
'7급 토목직 풀이 > 7급 응용역학 문제풀이' 카테고리의 다른 글
| 2023년 국가직7급 응용역학 11~15번 (0) | 2025.01.07 |
|---|---|
| 2023년 국가직7급 응용역학 6~10번 (0) | 2024.09.28 |