728x90
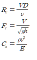
문 1. 레이놀즈(Reynolds) 수와 프루드(Froude) 수에 대한 설명으로 옳지 않은 것은?
① 레이놀즈 수는 유체의 층류와 난류를 구분하는 무차원수이다.
② 프루드 수는 유체의 상류와 사류를 구분하는 무차원수이다.
③ 레이놀즈 수는 관성력과 점성력의 비를 의미한다.
④ 프루드 수는 관성력과 탄성력의 비를 의미한다.
<해설>

프루이드 수는 관성력과 속도의 비를 의미합니다.
여기서 레이놀즈수 카우치수 등을 다 알아둘 필요가 있습니다.
오일러수도 알아두어야 합니다.
문 2. 어떤 유체의 부피가 8㎥이고 무게는 1,600kg이다. 이 유체의 단위중량[kg/㎥]과 비중은?
단위중량 비중
① 200 0.2
② 200 0.5
③ 2,000 0.2
④ 2,000 0.5

단위중량은 질량/체적 을 의미하므로 아주 쉽습니다.
비중또한 물의 단위중량에 대한 유체의 단위중량을 의미하므로
아주 쉽게 풀수 있는 문제입니다.
300x250
문 3. 동점성계수(ν)가 0.01㎠/sec인 유체가 지름이 5cm인 관수로 속을 통과할 때, 레이놀즈(Reynolds) 수 2,300을 유지하여 흐를 수 있는 속도[cm/sec]는?
① 4.0
② 4.6
③ 9.2
④ 18.4

식만 알면 풀수 있는 문제는 가볍게 풀고 넘어가되 기사책에 있는 비슷한 문제들을 풀어줍시다.
문 4. Moody Diagram을 이용하여 난류의 마찰손실계수(f)를 구하려고 할 때 필요한 자료는?
① 레이놀즈 수, 유속
② 유량, 절대조도
③ 유속, 조도높이
④ 레이놀즈 수, 상대조도

여기서 무디 다이어그램을 짚고 가야하는데
마찰 손실계수는 레이놀즈수와 상대조도에 의해서 결정되는 것을 알고있어야하고
정확하게 구하는 공식은 위와 같습니다.
2020년 국가직 기출문제에서도 관련한 문제가 나왔으니 살펴보시길 바랍니다.
728x90
728x90
'7급 토목직 풀이 > 7급 수리수문학 문제풀이' 카테고리의 다른 글
| 2014 국가직7급 수리수문학 9~12번 풀이 (0) | 2021.08.10 |
|---|---|
| 2014 국가직7급 수리수문학 5~8번 풀이 (0) | 2021.08.09 |
| 2015 국가직7급 수리수문학 17~20번 풀이 (0) | 2021.08.07 |
| 2015 국가직7급 수리수문학 13~16번 풀이 (0) | 2021.08.07 |
| 2015 국가직7급 수리수문학 5~8번 풀이 (1) | 2021.08.04 |