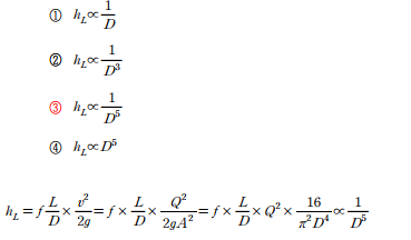
문 5. 직선원형관에서 유량이 Q이고 마찰손실계수(f)가 일정할 때, 마찰손실수두(hL)와 관경(D)과의 관계로 옳은 것은?

마찰손실수두 공식을 바로 이용했다가는 틀리기 좋은 문제이므로
아니 뭐이렇게 쉽게 내줘? 가 아니라
한두번 생각해봅시다.
문 6. 1차원 흐름의 유속을 u=2x²+sin(t)로 나타낼 수 있을 때, 이 흐름의 시간적, 공간적 특성에 대한 설명으로 옳은 것은?
① 정상류이면서 등류
② 비정상류이면서 등류
③ 정상류이면서 부등류
④ 비정상류이면서 부등류

정상류와 부등류의 정의를 이용하는 문제입니다.
문 7. 유역면적이 20km2이고 도달시간이 30분인 유역에서 10년 빈도 강우량을 고려하여 배수구조물을 설계하고자 한다. 강우강도식이 I=2500/(t+20) [mm/hr]이고 이 유역의 소유역별 유출계수가 다음과 같을 때, 합리식에 의한 10년 빈도 첨두홍수량[m³/sec]은?

일단 첨두홍수량이라는 단어가 자주나오기에 개념을 살펴봅시다.
<보통 m³/sec의 단위로 나타낸다. 하천의 어떤 지점에서 발생된 최대유량을 그 지점에서의 첨두홍수량이라 할 수 있으나, 보통은 유역 출구에서의 최대 유출(유)량을 지칭하는 경우가 많다. 유역면적이 적은 유역에서는 첨두홍수량을 산정하는 방법으로 합리식이 널리 사용된다. 그렇지 않은 유역에 대해서는 합성단위유량도 또는 더욱 복잡한 유출모형을 사용하여 첨두홍수량을 구할 수 있다. 치수목적의 수공시설물 중 비행장의 배수로, 도시우수관거, 도로암거, 주차장 배수시설의 크기 등은 첨두홍수량을 알아야 한다.> -수자원공사 제공-
일단 합리식을 구하기 위해서는 유출계수를 알아야 하는데
면적별 유출계수가 다르므로 평균 유출계수를 구해야합니다
그후 합리식에 대입을 합니다.
문 8. 어떤 하천상에 댐을 건설하기 위하여 가물막이 댐을 임시로 설치하고자 한다. 가물막이 댐을 재현기간 10년 홍수량에 견딜 수 있도록 설계할 때, 세 번째 해에 파괴될 확률[%]은?
① 0.1
② 8.1
③ 27.1
④ 72.9

솔직히 식을 외워도 상관은 없지만
고등학생때 통계를 배웠다면
T가 무슨 의미인지만 안다면 아주 쉽게푸는 문제입니다.
'7급 토목직 풀이 > 7급 수리수문학 문제풀이' 카테고리의 다른 글
| 2014 국가직7급 수리수문학 13~16번 풀이 (0) | 2021.08.11 |
|---|---|
| 2014 국가직7급 수리수문학 9~12번 풀이 (0) | 2021.08.10 |
| 2014 국가직7급 수리수문학 1~4번 풀이 (0) | 2021.08.08 |
| 2015 국가직7급 수리수문학 17~20번 풀이 (0) | 2021.08.07 |
| 2015 국가직7급 수리수문학 13~16번 풀이 (0) | 2021.08.07 |