728x90

문 17. 어떤 흙의 4번체와 200번체 통과율이 각각 80%와 30%이고, 액성한계는 25%, 소성한계가 10%일 때 이 흙을 통일분류법으로 분류하면?
① SM
② SC
③ GM
④ GC
<난이도 중상>
일단 너무 얕보다가 틀리는 문제이기에 중상을 줬다.
단계를 거쳐야한다
- 통과중량 백분율 F#200 = 30% <50 % ⇒ 조립토 / 세립토
- F#4 = 80% > 50% ⇒ 자갈 / 모래
- 제 2문제 M / L 판정

A선 = 0.73(LL-20) = 0.73(25-20)=3.65
U선 = 0.9(LL-8) = 15.3
소성한계는 10%
15.3과 3.65 사이에 있다
사이에 있으면 C이므로
정답은 SC

<난이도 하>
그냥 마르고 닳도록 나오고 기사에서도 나오는 문제이므로 난이도는 하

300x250
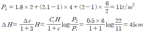
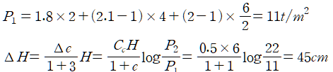
문 19. 그림과 같은 지반의 지표면에 11t/m²의 등분포하중이 무한히 넓은 면적에 작용할 때, 점토층의 1차 압밀침하량[cm]은?
(단, 점토층은 정규압밀점토이며, log2≒0.3, log3≒0.5, log5≒0.7로 간주한다)

① 30
② 35
③ 40
④ 45
<난이도 중>
솔직히 쉽긴합니다.


<난이도 하>
개꽁짜 문제입니다. 틀리면 안됩니다
※꿀팁

토압분포도를 그려보면 이렇게나오는데
삼각형 사각형 그려서 도심찾지말고..
사다리꼴 도심공식 기억하면된다
이상하게 구하는 흑우 읍제?
728x90
728x90
'7급 토목직 풀이 > 7급 토질역학 문제풀이' 카테고리의 다른 글
| 2010년 국가직 7급 토질역학 5~8번 해설 (0) | 2021.10.31 |
|---|---|
| 2010년 국가직 7급 토질역학 1~4번 해설 (0) | 2021.09.27 |
| 2009 국가직7급 토질역학 13~16번 해설 (2) | 2021.09.22 |
| 2009 국가직7급 토질역학 9~12번 해설 (0) | 2021.09.05 |
| 2009 국가직7급 토질역학 5~8번 해설 (0) | 2021.09.02 |