728x90



정답은 3번
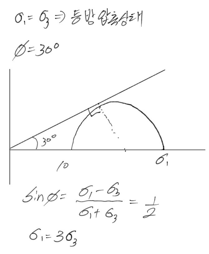
<난이도 하>
굉장히 쉬운 문제이다.
해설만ㄴ 봐도 이해가 갈거다.
구속응력이 같은것은 등방압축 상태이다.


정답은 4번
300x250
문 11. Terzaghi는 일차원 압밀이론을 제안하였다. 이때 사용된 가정으로 옳지 않은 것은?
① 흙은 균질하고 완전히 포화되어 있으며 흙 입자와 물의 압축성은 무시한다.
② 유효응력이증가하면압축토층의간극비는반비례하여감소한다.
③ 물은 연직과 수평방향으로 흐르고 흙의 압축은 연직방향으로만 발생한다.
④ 흙 속의 물의 이동은 Darcy의 법칙을 따르며 투수계수는 압밀 전과정에 걸쳐 일정하다.
<난이도 하>
Terzaghi 1차원 압밀이론의 가정
1. 균질
2. 포화
3. 비압축성
4. Darcy
5. 1차원 압밀
6. 1차원 흐름
이 가정에서 수평방향으로 흐르면 2차원이 된다.
따라서 답은 3번
문 12. 다음 중 흙의 다짐 특성으로 옳지 않은 것은?
① 일반적으로 다짐에너지가 클수록 흙의 최대 건조단위중량은 커진다.
② 최적함수비는 최대 건조단위중량을 나타낼 때의 함수비이며 포화도는 100%를 나타낸다.
③ 다짐에너지가 증가할수록 최적함수비는 감소한다.
④ 조립토의 입도분포가 양호할수록 최적함수비는 작아지고 최대 건조단위중량은 커진다.

최적함수비는 최대 건조단위중량을 나타내는 함수비는 맞으나 포화도 100%를 나타내진 않는ㄷ나.
포화도 100%는 영공기 간극곡선에 있는 점이다.
728x90
728x90
'7급 토목직 풀이 > 7급 토질역학 문제풀이' 카테고리의 다른 글
| 2009년 국가직7급 토질역학 17~20번 해설 (0) | 2021.09.23 |
|---|---|
| 2009 국가직7급 토질역학 13~16번 해설 (2) | 2021.09.22 |
| 2009 국가직7급 토질역학 5~8번 해설 (0) | 2021.09.02 |
| 2009 국가직7급 토질역학 1~4번 해설 (0) | 2021.08.31 |
| 2008 국가직7급 토질역학 17~20번 해설 (0) | 2021.08.30 |