728x90

문 5. 흙의 동해에 대한 설명으로 옳지 않은 것은?
① 흙의 동해는 아이스렌즈(ice lens) 형성에 의한 동상과 아이스렌즈의 융해에 의한 강도저하를 말한다.
② 점토질 지층은 충분한 물이 공급되면 동상이 발생할 수 있다.
③ 지하수위가 깊어도 동결선이 모관상승고 이내면 동해를 받을 수 있다.
④ 실트질 흙은 점토질 흙에 비하여 간극이 커서 모관상승고가 낮으므로 동상피해가 적다.
<난이도 및 평>
난이도 하 , 자주나오는 문제이므로 외우도록하자기사 수준의 문제이므로 틀리면 안된다.
<해설>
1) 동해 = 동상 + 융해 를 합친 단어를 말한다
4) 실트는 동상입기 매우 쉽다..
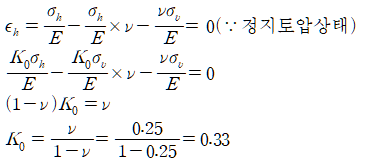
문 6. 균질한 상태로 탄성거동을 하는 지반이 있다. 지반의 포와송비 μ가 0.25일 때, 탄성이론에 의한 지반의 정지토압계수는?
① 0.25
② 0.33
③ 0.5
④ 0.75
<난이도 및 평>
난이도 하 , 자주나오는 문제이므로 외우도록하자
그리고 너무 쉬워서 틀리면 안된다 정말..
<해설>
<탄성 거동일경우>


이렇게 해설이 나온것처럼 원리도 이해하도록 하자
300x250
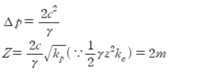
문 7. 연약점토로 뒤채움된 옹벽이 다음과 같을 때, 비배수 조건에서 인장균열이 발생된 후의 주동토압의 합력 Pa[kN/m]는?

① 32
② 64
③ 86
④ 128
<난이도 및 평>
난이도 중 , 자주나오는 문제
<해설>
※ 균열 전후의 토압차

<균열 후>

제일 중요한것은 인장균열후 Pa는 증가한다는 것이다.
문 8. 내부마찰각이 30°인 건조모래를 트럭으로부터 쏟아 부어 다짐 없이 성토체를 만들려고 한다. 성토체의 사면붕괴에 대한 안전율이 1.5일 때, 붕괴가 발생하지 않을 성토사면각의 최대값은?

<난이도 및 평>
난이도 중
<해설>

728x90
728x90
'7급 토목직 풀이 > 7급 토질역학 문제풀이' 카테고리의 다른 글
| 2011년 국가직 7급 토질역학 13~16번 해설 (0) | 2021.12.28 |
|---|---|
| 2011년 국가직 7급 토질역학 9~12번 해설 (0) | 2021.12.27 |
| 2011년 국가직 7급 토질역학 1~4번 해설 (0) | 2021.12.16 |
| 2010년 국가직 7급 토질역학 17~20번 해설 (0) | 2021.12.14 |
| 2010년 국가직 7급 토질역학 13~16번 해설 (0) | 2021.11.03 |