
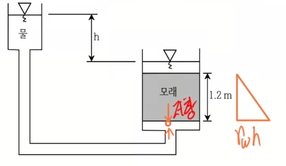
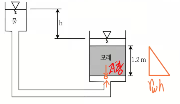
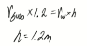
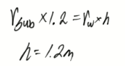
문 9. 다음 그림과 같이 왼쪽에는 물이 담겨있는 수조, 오른쪽에는 모래가 담겨있는 토조가 있다. 분사현상이 발생되기 시작하는 수조와 토조 사이의 수위차 h[m]는? (단, 흙의 포화단위중량은 20kN/m³, 물의 단위중량은 10kN/m³이다)

① 0.8
② 0.83
③ 1.0
④ 1.2
<난이도 및 평가>
<해설>


문 10. 높이 5m인 옹벽의 뒤채움이 다음과 같은 조건의 모래지반일 때 Rankine법에 의한 주동토압 산정결과가 큰 것부터 작은 것까지 순서대로 나열한 것은?

| ㄱ.지하수가 존재하지 않는 경우 ㄴ.지하수가 뒤채움재의 지표까지 존재하는 경우 ㄷ.지하수가 옹벽 전․후면에 지표면과 같은 높이로 동시에 존재하는 경우 ㄹ.옹벽배면에 경사배수재를 설치하여 뒤채움재에 연직배수가 발생하는 경우 |
① ㄴ-ㄹ-ㄱ-ㄷ
② ㄴ-ㄹ-ㄷ-ㄱ
③ ㄹ-ㄴ-ㄱ-ㄷ
④ ㄹ-ㄴ-ㄷ-ㄱ
<난이도 및 평가>
<해설>
옹벽 배면에 경사 배수재가 설치된 경우
옹벽 뒤채움에 지하수위가 존재하지 않는경우
옹벽 양쪽에 지하수위가 있는 경우
순으로 주동토압이 크다
문 11. 다음 2개의 다짐곡선에 대한 설명으로 옳지 않은 것은?

① 흙 종류가 동일할 경우, 곡선 A의 투수계수가 곡선 B의 투수계수보다 크다.
② 흙 종류가 동일할 경우, 곡선 A의 다짐에너지가 곡선 B의 다짐에너지보다 크다.
③ 다짐에너지가 동일할 경우, 곡선 A가 곡선 B보다 더 많은 조립분을 함유하고 있다.
④ 다짐에너지가 동일할 경우, 곡선 A가 곡선 B보다 더 양호한 입도분포를 보인다.
<해설>

2, 4) 동일한 흙인데 다짐에너지가 크고 입도분포가 양호하면 다짐 곡선은 좌상향으로 이동함
3) 세립분 흙이 많을수록 다짐에너지가 작아지므로 곡선은 우하향하게 된다.

문 12. Terzaghi의 얕은기초 해석에 대한 설명으로 옳지 않은 것은?
① 전반전단 파괴시의 응력을 고려하여 극한지지력을 산정한다.
② 기초의 안전율은 일반적으로 2~3을 사용한다.
③ 점성토의 허용지지력은 기초폭과 관계없이 일정하고, 사질토는 기초폭에 비례하여 커진다.
④ 지지력계수는 내부마찰각과 점착력의 함수로 구성되어 있다.
<난이도 및 평가>
<해설>
① Qu = 전반전단 파괴만약 국부전단파괴의 경우 
② Qa= Qu / Fs
Fs는 보통 2~3이다.
③ 점성토 or 완전포화(비배수)일경우
Φ=0 , Nr=0 , Nq=1
이고
사질토의경우는 점착력이 없으므로 C = 0이다
따라서
Qa = Qu / Fs = (cNc + qNq + 0.5BβNr)/Fs이므로
점성토 허용지지력은 Nr이 0 이므로 B(폭)와는 상관이 없고
사질토는 c=0 이므로 폭이 커질수록 허용지지력이 커진다.
'7급 토목직 풀이 > 7급 토질역학 문제풀이' 카테고리의 다른 글
| 2011년 국가직 7급 토질역학 17~20번 해설 (0) | 2021.12.29 |
|---|---|
| 2011년 국가직 7급 토질역학 13~16번 해설 (0) | 2021.12.28 |
| 2011년 국가직 7급 토질역학 5~8번 해설 (0) | 2021.12.20 |
| 2011년 국가직 7급 토질역학 1~4번 해설 (0) | 2021.12.16 |
| 2010년 국가직 7급 토질역학 17~20번 해설 (0) | 2021.12.14 |