
문 13. 압축지수와 재압축지수에 대한 설명으로 옳지 않은 것은?
① 액성한계가 커질수록 압축지수도 커진다.
② 일반적으로 재압축지수의 크기는 압축지수보다 작다.
③ 불교란 점토의 압축지수가 교란 점토의 압축지수보다 작다.
④ 초기 간극비가 커질수록 압축지수도 커진다.
<난이도 및 평>
난이도 상이며 그래프를 이해해야 풀수 있다.
<해설>

Cc = 압축지수
Cr = 재압축지수
Cs = 팽창지수
불교란시료의 압축지수 Cc = 0.009(WL-10)
교란시료의 압축지수 = Cc = 0.007(WL-10)

문 14. 간극수압계수 A와 B에 대한 설명으로 옳지 않은 것은?
① 완전히 포화된 점토의 B 값은 1.0이다.
② 일반적으로 포화도가 커질수록 B 값도 커진다.
③ 일반적으로 정규압밀점토의 A 값은 과압밀점토의 A 값보다 작다.
④ 비압밀배수(CU) 시험에서 A 값을 구할 수 있다.
<난이도 및 평>
난이도 중이며 간극수압계수를 잘이해해야 삼축압축시험 문제를 이해하고 풀수있다.
<해설>

완전 포화일 경우 B = 1 이된다 (왜냐하면 추가되는응력은 모두 물로가기 때문이다)
완전 건조일 경우 B = 0
A계수가 높아지는건 과잉간극수압이 증가하기 때문이고
| 종류 | A계수 |
| 정규압밀점토 | 0.5~1.0 |
| 과압밀점토 | -0.5~0.5 |
과압밀점토에서 - 가 생기는 이유는 팽창하려고 하기 때문이다(= +다일러턴시)
| CD | 간극수압 0 |
| CU | |
| UU |

문 15. 흙의 전단에 대한 설명으로 옳지 않은 것은?
① 비압밀비배수(UU) 삼축압축시험의 경우, 파괴시 축차응력의 크기는 구속응력의 크기와 무관하게 일정하다.
② 흙의 전단파괴는 전단응력이 최대인 면을 따라 발생한다.
③ 균등계수(Cu)가 작을수록 모래질 흙의 전단강도는 작아진다.
④ 시공 중 혹은 직후의 기초지반에 대한 단기안정성을 평가하기 위해서는 비배수전단시험을 수행한다.
<난이도 및 평>
난이도 중으로 선지 하나하나가 자주나오므로 이해하고 외우자
<해설>

2)

3) 균등계수는 넓게 분포하는 정도를 의미한다

4) 단기안정평가를 위해서는
압밀이 일어나지 않고 배수가 일어나지 않아야하므로 UU테스트를한다
장기안정의 경우 압밀과 배수가 둘다 일어나므로
CD테스트를 해야한다
단점이라면 오래걸린다.
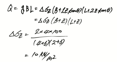
문 16. 2m×4m 크기의 직사각형 기초에 100kN/㎡의 등분포하중이 작용할 때, 기초 아래 6m 깊이에서 2:1 경사법으로 구한 응력증가량[kN/m²]은?
① 10
② 15
③ 20
④ 25
<난이도 및 평>
난이도 하 아주자주나오는 문제이므로 15초내로 풀어야한다.
<해설>

'7급 토목직 풀이 > 7급 토질역학 문제풀이' 카테고리의 다른 글
| 2012년 국가직 7급 토질역학 1~4번 해설 (0) | 2021.12.30 |
|---|---|
| 2011년 국가직 7급 토질역학 17~20번 해설 (0) | 2021.12.29 |
| 2011년 국가직 7급 토질역학 9~12번 해설 (0) | 2021.12.27 |
| 2011년 국가직 7급 토질역학 5~8번 해설 (0) | 2021.12.20 |
| 2011년 국가직 7급 토질역학 1~4번 해설 (0) | 2021.12.16 |