728x90

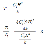
문 1. 상부와 하부의 모래층 사이에 있는 포화점토층이 90% 압밀되는 데 소요된 시간이 1년이었다. 같은 배수조건하에서 이 점토층보다 두께가 2배, 체적변화계수가 3배, 투수계수가 4배인 포화점토지반에 2배의 하중이 재하되었을 때 90% 압밀되는 데 필요한 시간[년]은?
① 2
② 3
③ 4
④ 5
난이도 및 평가
난이도 하, 포화점토의 압밀에 관한 이해
해설

문 2. 그림과 같은 지층에서 수직방향 등가투수계수(kv)에 대한 수평방향 등가투수계수(kh)의 비(kh/kv)는?
(단, k1과 k2는 각각 지층 1과 지층 2의 투수계수이다)

① 0.5
② 1.5
③ 4.0
④ 8.0
난이도 및 평가
난이도 하, 수평, 수직투수계수 계산
해설


난이도 및 평가
난이도 중, 옹벽의 주동토압 비교
해설


난이도 및 평가
난이도 중, 수위변화에 따른 유효응력 변화
해설
수위가 변했더라도 땅 아래의 수위가 변하지 않으면 유효응력 변화가 없다.
이는 유효응력이 토양 내의 포화수의 압력과 관련있기 때문이다.

난이도 및 평가
난이도 하, 단순 계산능력 평가 문제
해설

728x90
728x90
'7급 토목직 풀이 > 7급 토질역학 문제풀이' 카테고리의 다른 글
| 2021년 국가직 7급 토질역학 6~10번 해설 (0) | 2026.01.30 |
|---|---|
| 2020년 국가직 7급 토질역학 16~20번 (0) | 2025.06.13 |
| 2020년 국가직 7급 토질역학 11~15번 (1) | 2025.06.12 |
| 2020년 국가직 7급 토질역학 6~10번 해설 (0) | 2024.07.08 |
| 2020년 국가직7급 토질역학 해설 1~5번 해설 (0) | 2024.04.22 |