728x90

문 17. 그림과 같이 단위중량이 2.0tf/m³인 지반의 4m 깊이에 위치한 10m×10m의 전면기초에 Q=2,000tf의 활하중과 사하중이 작용한다. 기초 저면 중앙부 아래 10m 깊이 A지점에서 전면기초 작용하중에 의한 연직응력 증가량[tf/m²]은?
(단, 지중응력 전달은 2:1 응력분포법을 사용한다)

① 2.0
② 3.0
③ 4.0
④ 5.0

Q=q1 x B x B = q2 x (B+2Z tan(theta))²
q2 = (2000 - 2 x 4 x 10 x 10) / (10+10)² = 3tf/m²


아주 쉬운 꽁짜문제이다
틀리면 흑우다. 아주 기본적인 문제이다.
답은 2번
300x250
문 19. 그림과 같이 사질토로 구성된 경사 30o의 무한사면이 두 개가 있다. 왼쪽은 건조상태의 무한사면이고, 오른쪽은 수중에 잠긴 무한사면일 때, 두 사면의 안전율에 대한 설명으로 옳은 것은?

답은 4번

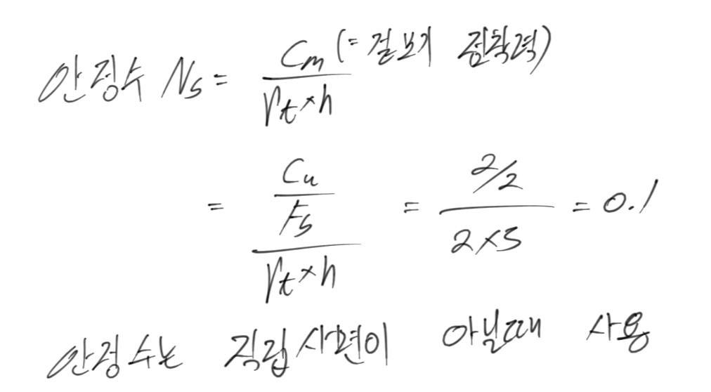
문 20. 그림과 같은 사면의 안전율이 2.0일 때 안정수(stability number) Ns는?

① 0.1
② 0.2
③ 5.0
④ 10

728x90
728x90
'7급 토목직 풀이 > 7급 토질역학 문제풀이' 카테고리의 다른 글
| 2009 국가직7급 토질역학 5~8번 해설 (0) | 2021.09.02 |
|---|---|
| 2009 국가직7급 토질역학 1~4번 해설 (0) | 2021.08.31 |
| 2008 국가직7급 토질역학 13~16번 해설 (0) | 2021.08.29 |
| 2008 국가직7급 토질역학 9~12번 해설 (0) | 2021.08.23 |
| 2008 국가직7급 토질역학 5~8번 해설 (0) | 2021.08.22 |