728x90

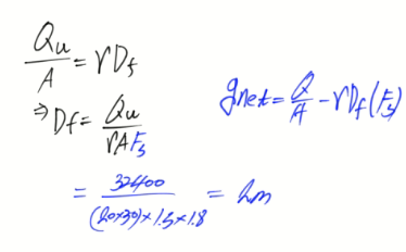
문 17. 다음과 같이 20m(폭)×30m(길이)를 가진 전면기초가 총하중 32,400kN의 하중을 받고 있다. 안전율이 1.5일 때 완전보상기초가 되기 위해 필요한 근입깊이[m]은?

① 0.8 ② 2.0
③ 3.0 ④ 3.5
<난이도 및 평>
난이도 중상이지만 가끔 전공시험 문제에서 꼭 내는거같다.
<해설>
완전보상기초 : Qu(net) = 0 인 기초를 말한다

문 18. 압밀시편 두께가 25mm인 점토에 연직응력(σ0)을 25kPa 작용시켰을 때 간극비(eo)는 1.5이었다. 이 시편에 25kPa의 응력을 증가시켜 연직응력(σ1)이 50kPa이 되었을 때 5mm의 침하가 발생하였다. 이때 점토의 간극비(e1)와 압축지수(Cc)는?
(단, log2=0.3, log3=0.5 이다)
① e1=0.5, Cc=1.7
② e1=0.5, Cc=2.0
③ e1=1.0, Cc=2.0
④ e1=1.0, Cc=1.7
<난이도 및 평>
난이도 중 Cc와 연계해서 자주 나오지는 않지만 비슷한문제는 자주나온다.
<해설>
300x250

문 19. 다음과 같이 8m 두께의 포화점토 지반에 80kN/m²의 무한 등분포하중이 작용한다. 1년 경과 후 60cm의 침하량이 발생하였다면 압밀도[%]는? (단, 점토지반은 정규압밀점토이고, 압축지수 Cc는 0.5, 간극비(eo)는 1.0, 물의 단위중량γw은 10kN/m³이며, 지하수위는 지표면에 위치한다. 또한, 침하량 계산시 단일층으로 가정하고, log2=0.3, log3=0.5 이다)

① 30
② 50
③ 60
④ 100
<난이도 및 평>
난이도 중하 19번 문제와 크게 다른것은 없는 문제이며 풀만하다.
<해설>
압밀도 = U = △Ht/Ht = △u/ui
1) △H = Cc x H /(1+e0) logP2/P1 = 1m
2) U = Sct / Sc = 0.6/1 x 100 = 60%
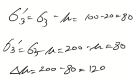
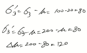
문 20. 포화점토 시료에 대해 비압밀비배수(UU) 시험을 실시하였다. 구속압력 σ3을 100kPa로 작용하였더니 파괴시 간극수압이 20kPa이었다. 이 포화점토에 구속압력 σ3을 200kPa로 작용시켰다면 파괴시 간극수압[kPa]은?
① 40
② 80
③ 120
④ 140
<난이도 및 평>
난이도 중, 아주 자주나오는 문제이다.
<해설>


728x90
728x90
'7급 토목직 풀이 > 7급 토질역학 문제풀이' 카테고리의 다른 글
| 2012년 국가직7급 토질역학 5~8번 해설 (0) | 2022.01.04 |
|---|---|
| 2012년 국가직 7급 토질역학 1~4번 해설 (0) | 2021.12.30 |
| 2011년 국가직 7급 토질역학 13~16번 해설 (0) | 2021.12.28 |
| 2011년 국가직 7급 토질역학 9~12번 해설 (0) | 2021.12.27 |
| 2011년 국가직 7급 토질역학 5~8번 해설 (0) | 2021.12.20 |