728x90


난이도 및 평가
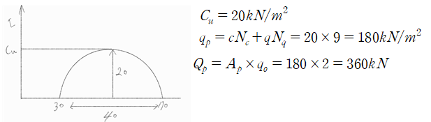
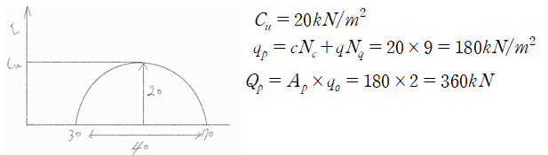
난이도 중, 극한 지지력 계
해설

문 17. 그림과 같이 연직으로 시공된 옹벽이 O점을 기준으로 반시계방향으로 (+)회전변위가 발생하여 보강공법을 적용하였더니 시계방향으로 변위가 발생하여 초기 연직상태를 지나 오히려 (-)회전변위가 발생하였다. 옹벽이 ‘정지→(+)회전→정지→(-)회전’의 순서로 변위가 발생하는 동안 미소요소 A의 응력상태를 나타내는 Mohr원의 변화순서는? (단, 옹벽의 회전변위에 따른 토체의 전단파괴는 발생하지 않았으며, 미소요소 A의 응력은 벽체변위에 영향을 받는다)

① ㉠→㉡→㉢→㉡ ② ㉡→㉢→㉡→㉠
③ ㉡→㉠→㉡→㉢ ④ ㉢→㉡→㉠→㉡
난이도 및 평가
난이도 중, 주동토압의 이
해설
정지토압 → 주동토압 → 정지토압 → 수동토압
(+)방향은 벽체 방향이므로 주동토압이다
(-)방향은 벽체 안쪽방향이므로 수동토압이다.
300x250
문 18. 그림과 같이 널말뚝벽이 설치된 지반에서 정상침투 상태의 유선망을 도시하였을 때, A위치의 유효수직응력은? (단, 지반은 등방․균질하며, 포화단위중량은 20kN/m³, 물의 단위중량은 10kN/m³ 이다)

① 100kN/m² ② 90kN/m² ③ 80kN/m² ④ 70kN/m²
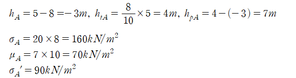
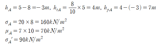
난이도 및 평가
난이도 하, 수압계산을 통한 유효응력 계
해설


난이도 및 평가
난이도 하, 압밀도 계산
해설

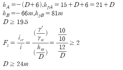
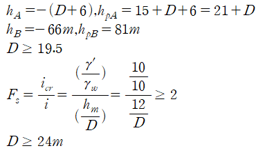
문 20. 그림과 같이 널말뚝벽이 설치된 점성토 지반에서 B점의 간극수압이 A점의 간극수압의 2배 이하가 되고, 히빙에 대한 안전율이 2.0 이상을 만족하는 널말뚝벽의 최소 근입깊이 D는?
(단, 점선 A-B는 총수두차의 50%가 손실되는 등수두선이고, 히빙존에서의 평균수두손실은 12m이며, 점성토의 포화단위중량과 물의 단위중량은 각각 20kN/m3과 10kN/m3이다)

17.5m ② 19.5m ③ 22.0m ④ 24.0m
난이도 및 평가
난이도 상, 히빙에 대한 안전율
해설

728x90
728x90
'7급 토목직 풀이 > 7급 토질역학 문제풀이' 카테고리의 다른 글
| 2020년 국가직 7급 토질역학 6~10번 해설 (0) | 2024.07.08 |
|---|---|
| 2020년 국가직7급 토질역학 해설 1~5번 해설 (0) | 2024.04.22 |
| 2019년 국가직7급 토질역학 11~15번 해설 (0) | 2024.03.14 |
| 2019년 국가직7급 토질역학 6~10번 해설 (0) | 2024.03.11 |
| 2019년 국가직7급 토질역학 1~5번 해설 (0) | 2024.03.10 |