728x90

문 1. 그림과 같이 흙의 삼상체계를 표시할 때, 간극의 부피(Vv), 물만의 중량(Ww), 흙입자만의 중량(Ws)은?
(단 Wa는 공기의 중량, e는 간극비, Gs는 흙입자의 비중, w는 함수비, γw는 물의 단위중량, Vs는 흙입자만의 부피이다.)


난이도 및 평가
난이도 하, 난이도는 낮지만 생각보다 흙의 삼상을 외우지 않는사람이 많아서 헷갈릴 수 있음
해설

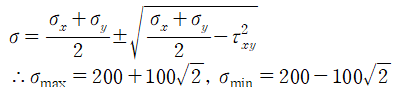
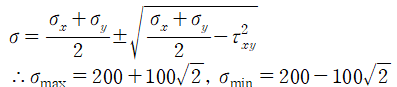
문 2. 그림과 같은 미소요소에 수직응력과 전단응력이 작용하고 있다면, 발생 가능한 최소주응력 및 최대주응력은? (단, Mohr원에서 수직응력의 경우 압축력을 (+)로, 전단응력의 경우 반시계방향을 (+)로 표시하며, 단위는 kN/m²이다)

난이도 및 평가
난이도 중, 공식만 외우면 풀기쉬운 문제이기도 하지만 사분면 상에 좌표계로 풀는 방법도 알고 있어야 한다.
해설

문 3. 포화된 점성토의 압밀비배수 삼축압축시험에 대한 설명으로 옳지 않은 것은?
① 전응력과 유효응력의 파괴포락선은 동일하지 않다.
② 파괴 시 간극수압을 측정할 수 있다.
③ 전단과정에서 시료의 체적변화가 발생한다.
④ 전응력 Mohr원과 유효응력 Mohr원의 크기는 같다.
난이도 및 평가
난이도 ,
해설

① 과잉간극수압이 발생하기 때문에 전응력과 유효응력의 파괴포락선은 다르다.
② 축차응력이 발생하면 과잉간극수압이 발생하고 파괴 시 간극수압을 측정할 수 있다.
③ 축차응력발생 시 전단응력이 발생하나 비배수 상태기 때문에 체적변화는 없다.
④ 간극수압으로 인하여 수직응력의 좌표가 변할뿐이지 모어원 크기는 같다.
문 4. Terzaghi의 1차원 압밀이론에 사용된 가정조건으로 옳지 않은 것은?
① 흙은 완전히 포화되어 있다.
② 흙입자는 압축성이다.
③ Darcy의 법칙이 성립된다.
④ 물은 비압축성이다.
난이도 및 평가
난이도 하, 기사수준에서 자주나오는 문제이며 해설을 외우면 아주 편하다.
해설
Terzaghi 1차원 압밀이론 가정
흙은 균질하며 균등하다
흙은 완전히 포화되어 있다.
흙입자와 물은 비압축성
물은 연직방향으로만 흐르고 흐름방향으로 압밀
Darcy법칙을 따름
문 5. 두께가 2cm인 점토시료에 대해 상재압 20kN/m²으로 일면배수 실내압밀시험을 실시하였을 때, 10분 경과 후 평균과잉간극수압이 12kN/m ² 이 되었다. 동일한 점토로 구성된 4m 두께의 점토층이 양면배수조건에서 40% 압밀되는 데 소요되는 시간은?
(단, 압밀도 40%와 60%에 대한 시간계수 Tv는 각각 0.13과 0.29이다)
① 500분 ② 25,000분 ③ 100,000분 ④ 400,000분
난이도 및 평가
난이도 하, 공식만 알고있으면 쉽게 푸는 문제이다.
해설

728x90
728x90
'7급 토목직 풀이 > 7급 토질역학 문제풀이' 카테고리의 다른 글
| 2019년 국가직7급 토질역학 11~15번 해설 (0) | 2024.03.14 |
|---|---|
| 2019년 국가직7급 토질역학 6~10번 해설 (0) | 2024.03.11 |
| 2018년 국가직7급 토질역학 16~20번 해설 (0) | 2023.01.03 |
| 2018년 국가직7급 토질역학 11~15번 해설 (0) | 2022.08.12 |
| 2018년 국가직7급 토질역학 6~10번 해설 (0) | 2022.08.07 |