
문 6. 그림과 같이 관개용수로가 강과 평행하게 계획되었다. 불투수성의 점토층 사이에 100mm 두께의 모래층이 협재되어 있을 때, 관개용수로에서 모래층을 통해 강으로 누수되는 단위폭당 누수량은?
(단, 모래층의 투수계수는 80m/day이고, Darcy의 법칙이 성립하며, 강과 관개용수로의 수위는 일정하게 유지된다)

① 1.6m³/day/m
② 3.2m³/day/m
③ 8.0m ³ /day/m
④ 16.0m ³ /day/m
난이도 및 평가
난이도 중상, 유량 구하는 공식은 어렵지 않으나 i = h/L에서 h가 전수두차라는 것을 이해해야한다.
해설

문 7. 동일한 흙시료에 대해서 직접전단시험을 수행한 결과, 수직응력이 100kN/m²일 때 전단강도가 60kN/m², 수직응력이 200kN/m²일 때 전단강도가 100kN/m²이었다면, 이 흙시료의 점착력은? (단, Mohr-Coulomb의 파괴기준을 따른다)
① 20kN/m²
② 40kN/m²
③ 80kN/m²
④ 100kN/m²
난이도 및 평가
난이도 중, 동일한 흙시료일 때 점착력은 변하지 않는다는 특성을 이용한다.
해설

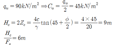
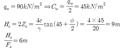
문 8. 내부마찰각 0, 일축압축강도 90kN/m², 습윤단위중량 20kN/m³인 평평한 지반을 흙막이 없이 연직으로 최대한 깊게 무지보 굴착(open cut)을 하려고 한다. 설계 안전율 1.5를 적용할 때, 설계 굴착깊이는? (단, 설계 안전율은 흙막이 없이 연직으로 무지보 굴착이 가능한 이론적 최대깊이를 설계 굴착깊이로 나눈 값이다)
① 3.0m ② 4.5m ③ 6.0m ④ 9.0m
난이도 및 평가
난이도 중, 굴착의 안정성 자체는 쉬우나 헷갈리는 개념이 있다.
해설

※ 일반적으로 깊게 팔수록 안전하다고 알려져 있으나 왜 한계굴착 깊이에서 줄어들게 되는가?
이는 무지보 굴착의 경우, 일반적으로 굴착 깊이가 깊어질수록 토양의 안정성이 감소하기 때문이며, 한계 굴착 깊이는 토양의 일축 압축 강도와 습윤 단위 중량에 따라 결정되며, 설계 안전율은 이러한 한계 굴착 깊이에 기반하여 결정됩니다. 설계 안전율은 굴착이 안전하게 수행될 수 있는 깊이를 제공하기 위해 사용되며, 이 값이 한계 굴착 깊이보다 작은 이유는 굴착 중에 예기치 않은 조건이나 부담을 감당할 수 있도록 여유를 제공하기 위해서입니다.
문 9. 흙의 다짐특성에 대한 설명으로 옳지 않은 것은?
① 일반적으로, 동일한 다짐에너지 조건에서 소성성이 작은 세립토가 소성성이 큰 세립토보다 최대건조단위중량이 작다.
② 일반적으로, 동일한 다짐에너지 조건에서 입도분포가 좋은 조립토가 입도분포가 나쁜 조립토보다 최대건조단위중량이 크다.
③ 동일한 흙시료에 대해서 다짐에너지가 클수록 최대건조단위중량은 커지고 최적함수비는 작아진다.
④ 일반적으로, 흙댐의 심벽 등 차수목적으로 흙을 다질 경우에는 습윤측 다짐을 하는 것이 좋다.
난이도 및 평가
난이도 하, 다짐의 특성으로 기사수준의 문
해설
① 소성성이 높아질수록 점토함유량이 높아지고 동일한 다짐에너지 조건에서 소성성이 작은 세립토가 소성성이 큰 세립토보다 최대건조단위중량이 크다.
② 좋은 입도 분포는 토양 입자들이 더 효율적으로 배치되게 하여, 더 높은 최대 건조 단위 중량을 가지게 된다.
③ 다짐 에너지가 높을수록 토양 입자들은 더 밀집되고, 이로 인해 최대 건조 단위 중량은 증가합니다. 또한 높은 다짐 에너지는 최적함수비를 줄일 수 있습니다.
④ 습윤측 다짐을 할 경우 최소 투수계수를 갖기 때문이다.
10. 그림과 같이 기초폭이 2m인 띠기초를 지표면 아래 1.5m 깊이에 설치하였을 때, 기초의 전반전단파괴에 대한 극한지지력은?(단, 기초의 점착력 c는10kN/m², 내부마찰각 Φ는 20º, 습윤단위중량 γt는 18kN/m³이며, Terzaghi의 지지력공식과 지지력계수는 Nc=18, Nr=5, Nq=7을 사용한다)

① 459kN/m² ② 479kN/m² ③ 499kN/m² ④ 519kN/m²
난이도 및 평가
난이도 하, 띠기초의 극한지지력 계
해설

'7급 토목직 풀이 > 7급 토질역학 문제풀이' 카테고리의 다른 글
| 2019년 국가직7급 토질역학 16~20번 해설 (0) | 2024.03.18 |
|---|---|
| 2019년 국가직7급 토질역학 11~15번 해설 (0) | 2024.03.14 |
| 2019년 국가직7급 토질역학 1~5번 해설 (0) | 2024.03.10 |
| 2018년 국가직7급 토질역학 16~20번 해설 (0) | 2023.01.03 |
| 2018년 국가직7급 토질역학 11~15번 해설 (0) | 2022.08.12 |