
문 13. 직접전단시험과 관련된 내용으로 옳지 않은 것은?
① 진행성파괴가 일어난다.
② 배수조절과 간극수압 측정이 어렵다.
③ 전단응력이 파괴면에 균등하게 분포한다.
④ 전단시에 주응력방향이 회전한다.
*전단시험
-사질토 : 직접전단
-점성토 : 일축압축강도, 삼축압축강도
CD : 배수 => 간극수압측정불가
CU : 비배수 => 간극수압 측정가능
UU : 비배수 => 간극수압 측정가능
*직접 전단

<난이도 중>
어려운 문제는 아니나 중요한 개념이 나왔다. 전단시험에서 사질토시험과 점성토 시험으로 나뉘며
점성토 시험에서는 CD CU UU 테스트가 있는데 여기서 간극수압이 측정가능한지 불가능한지에 대해서 파악해야하고
직접전단시험 모래에서는 진행성파괴, 배수조절이 일어나고, 전단응력이 균등하면 파괴, 파괴시 최대 주응력이 회전하는데 이 개념을 잘 알고 있어야한다
문 14. 부피 V=200cm³인 등방 균질한 점토시료에 대하여 삼축배수전단시험(CD)을 실시한 결과, 파괴시의 체적감소(V)가 5.0cm³, 축방향변형률(ɛ₁)이 4.5%로 측정되었다면, 횡방향변형률(ɛ₃)[%]은?
① 0.5(팽창)
② 1.0(팽창)
③ 1.5(팽창)
④ 2.0(팽창)
1) Ac/Ao = (1-ɛv)/(1-ɛ) = (1-5/200)/(1-0.0045)=1.02
2) ɛv = △V/V = ɛ₁+ɛ₃ x 2
ɛ₃ = (△V/V-ɛ₁)x1/2 = (5/200-0.045)*0.5= -0.01(팽창) => 1%
<난이도 중>
어려운 문제는 아니나
응용역학처럼 풀수도 있고 토질역학처럼 풀수도 있다.
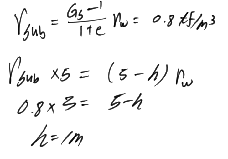
문 15. 그림과 같은 사질토층의 A점에서 상향흐름이 있을 경우, 분사현상이 발생하지 않기 위한 최저수심(h)[m]은?
(단, 사질토층의 비중은 2.6, 간극비는 1.0으로 가정한다)

① 0.5
② 1.0
③ 1.5
④ 2.0


<난이도 하>
정말로 쉬운문제이니 틀리면 안되는 문제이다. 기사수준이고 생각보다 이문제는 공무원시험에서 자주나오니 꼭 알아두도록하자
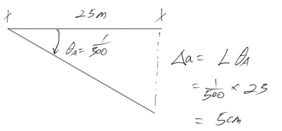
문 16. 길이가 25m인 정방형 전면기초인 건물이 있다. 이 건물의 허용 각변위(angular distortion)를 1/500이라고 할 때, 최대허용부등침하량[cm]은?
① 2.0
② 2.5
③ 5.0
④ 10

<난이도 하>
부등침하가 나오니 뭔가 무서울수도 있겠지만
생각보다 정말 간단한 문제이다.
옛날 수학2인가 수학1에서 배웠을 것이다
sin(theta)=tan(theta)에서 theta가 매우 작아지면 같다고 볼수 있다고
그렇기에 저런 식이 나올수 있다.
'7급 토목직 풀이 > 7급 토질역학 문제풀이' 카테고리의 다른 글
| 2009 국가직7급 토질역학 1~4번 해설 (0) | 2021.08.31 |
|---|---|
| 2008 국가직7급 토질역학 17~20번 해설 (0) | 2021.08.30 |
| 2008 국가직7급 토질역학 9~12번 해설 (0) | 2021.08.23 |
| 2008 국가직7급 토질역학 5~8번 해설 (0) | 2021.08.22 |
| 2008 국가직7급 토질역학 1~4번 해설 (0) | 2021.08.21 |