728x90

문 1. 사면안정해석 방법 중 절편법이 아닌 것은?
① Fellenius 방법
② Culmann 방법
③ Bishop의 간편법
④ Janbu의 간편법
<난이도 및 평가>
난이도 중, 기사에서도 가끔 나오는 문제이며 각 방법의 특징을 외우면 다음에 틀릴일은 없다.
<해설>
※사면해석법
| 균질한 지반 | 질량법, 중량법, Φ=0 해석(완전포화된 점토에 씀) 일체법 |
| 비균질한 지반 | 분할법 |
★ 분할법
Fellenius : 모든것은 0으로 취급하는 전응력해석법이며 단기안정해석에 활용됨
Bishop : 유효응력해석법이며 장기안정해석을 할대 사용
Janbu : 모멘트평형법을 사용하며 특징은 수정계수를 이용함
Spencer : 정밀안정해석법임
Culmann(쿨만) 해석법은 사면의 파괴 형상을 직선파괴라고 간주하여 해석하는 방법임
문 2. 어느 지반에서 시료를 채취하여 실내시험을 한 결과, 흙시료의 총 중량은 2.21N, 흙만의 중량은 1.28N, 흙의 비중은 2.7, 포화도는 75%였다. 이 흙시료에서 물이 차지하는 체적[cm³]은? (단, 물의 단위중량은 10kN/m³로 한다)
① 69.75
② 93.00
③ 96.00
④ 165.75
<난이도 및 평가>
난이도 중, 흙의 3상을 알아야 이해하기 쉽다.
300x250
<해설>

Vv = Se = (W-Ws) / γw = (2.21-1.28)/1
문 3. 그림과 같은 굴착현장에서 굴착면 하부지반 A의 거동을 평가하고자 한다. 이 때 현장상태를 가장 잘 반영할 수 있는 실내시험방법은?

① 삼축압축시험(triaxial compression test)
② 삼축인장시험(triaxial extension test)
③ 직접전단시험(direct shear test)
④ 일축압축시험(unconfined compression test)
<난이도 및 평가>
난이도 하, 조금만 생각하면 풀기 쉬운 문제이다.
300x250
<해설>
굴착을 하게 되면 흙이 압축력이 없어지므로 인장이 생기게 되는데
사진에 보이는 굴착상태는 배수상태와 응력조절이 되어야 하는데
배수와 응력조절이 쉬운 시험은
삼축압축시험과 삼축인장시험이므로
굴착상태는 인장 상태이므로 삼축인장시험이 정답
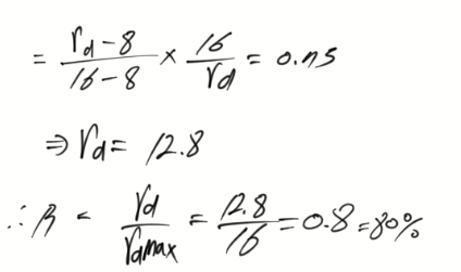
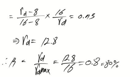
문 4. 최대 건조단위중량과 최소 건조단위중량이 각각 16kN/m3와 8kN/m3인 모래지반의 상대밀도가 75%라면 다짐도는?
① 75%
② 80%
③ 85%
④ 90%
<난이도 및 평가>
난이도 하, 기사에서도 마르고 닳도록 나오는 문제이다.
300x250
<해설>


728x90
728x90
'7급 토목직 풀이 > 7급 토질역학 문제풀이' 카테고리의 다른 글
| 2012년 국가직7급 토질역학 9~12번 해설 (0) | 2022.01.06 |
|---|---|
| 2012년 국가직7급 토질역학 5~8번 해설 (0) | 2022.01.04 |
| 2011년 국가직 7급 토질역학 17~20번 해설 (0) | 2021.12.29 |
| 2011년 국가직 7급 토질역학 13~16번 해설 (0) | 2021.12.28 |
| 2011년 국가직 7급 토질역학 9~12번 해설 (0) | 2021.12.27 |