728x90

문 17. 10m 두께의 점토지반에서 시료를 채취하여 압밀시험을 수행한 결과, 하중강도와 간극비 관계가 다음과 같이 나타났다.
| 하중강도(kN/m2) | 100 | 200 | 300 |
| 간극비 | 1.00 | 0.72 | 0.60 |
이 점토지반의 초기 평균 유효연직응력이 100kN/m²인 상황에서 지표면에 200kN/m²의 등분포하중이 충분히 넓게 재하되었다면, 점토지반에 발생하는 최종 압밀침하량[m]은?
① 1.4 ② 1.6
③ 1.8 ④ 2.0
<난이도 및 평가>
난이도 중으로 한번이해하면 정말 쉬운 문제이다.
<해설>

문 18. 암반층 위에 5m 두께의 모래층이 경사 15°의 자연무한사면으로 구성되어 있다. 이 토층의 내부마찰각은 30°, 포화단위중량은 20kN/m³이다. 지하수가 있는 경우와 지하수가 없는 경우의 안전율 비는? (단, tan30°=0.5774, tan15°=0.2679, 물의 단위 중량은 10kN/m³로 하며, 지하수는 지표면과 일치하고 경사면과 평행하게 흐른다)
① 1:1.0 ② 1:1.5
③ 1:2.0 ④ 1:2.5
<난이도 및 평가>
문제만 읽어봤을때는 난이도가 중상처럼 보이지만 난이도 하이다. 무한사면 문제이다.
그림을 그려보자
<해설>

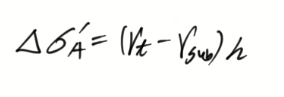
문 19. 그림과 같이 지하수위가 ㉠에서 ㉡으로 h만큼 내려갔을 때, A점에 작용하는 유효연직응력의 변화량은? (단,
γsat는 포화단위중량, γt는 습윤단위중량, γ'은 수중단위중량,γw는 물의 단위중량이다.)

300x250

<난이도 및 평가>
난이도 하이다. 이런문제 자주나왔다.
<해설>
유효응력증가는 변화구간만 고려하면 된다.

3번이다.
문 20. 어떤 느슨한 모래시료에 대한 파괴포락선의 식이 τf=σ'tan30˚였다. 같은 시료에 대하여 구속압력 100kN/m²를 가하여 압밀배수시험을 실시하였을 때, 이 시료의 파괴 시 축차응력[kN/m²]은?
① 200
② 220
③ 240
④ 260
<난이도 및 평가>
난이도 하이다. 이런문제 자주나왔다.
<해설>
그림을 그려 풀도록하자.
그래야 이해가 편하다.

728x90
728x90
'7급 토목직 풀이 > 7급 토질역학 문제풀이' 카테고리의 다른 글
| 2013년 국가직7급 토질역학 6~10번 해설 (0) | 2022.01.16 |
|---|---|
| 2013년 국가직7급 토질역학 1~5번 해설 (0) | 2022.01.15 |
| 2012년 국가직7급 토질역학 13~16번 해설 (0) | 2022.01.13 |
| 2012년 국가직7급 토질역학 9~12번 해설 (0) | 2022.01.06 |
| 2012년 국가직7급 토질역학 5~8번 해설 (0) | 2022.01.04 |