728x90

문 9. 지하수위가 지표면 아래 1m 되는 곳에 위치하고 모관현상으로 지표면까지 물로 포화되어 있다면, 지표면과 지하수위면 위치의 유효응력[kN/m²]은? (단, 흙의 포화단위중량은 18kN/m³, 물의 단위중량은 10kN/m³로 한다)
지표면 지하수위면
① 0 8
② 0 18
③ 10 8
④ 10 18
난이도 및 평가
난이도 중이며 모관현상이 일어날 시 유효응력이 커지는지 작아지는지를 이해해야 풀수 있는 문제이다
<해설>

※ 모관영역에서는 유효응력이 증가한다
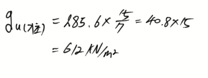
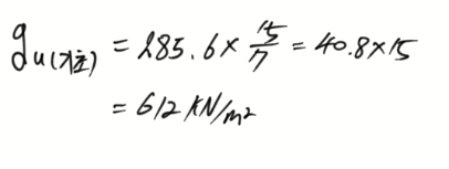
문 10. 점착력이 없는 사질토 지반 위에서 직경 70cm인 원형 재하판을 이용한 평판 재하시험을 실시한 결과, 극한지지력은 285.6kN/m²였다. 동일 지반 위에 놓인 직경 1.5m인 원형기초의 극한지지력 [kN/m²]은?
① 512
② 525
③ 612
④ 625
난이도 및 평가
난이도 중하의 문제이며 한번 외워두면 정말 쉽게 푸는 문제이다.
300x250
<해설>
PBT(평판재하시험)

여기서 더 알고갈점은
평판재하시험은
Qu=cNc + qNq + ½γNr 이므로
여기서 C가 0이고 깊이(Df)가 0이므로 저런 결과가 나오는 것이다.
문 11. 말뚝 기초에서 부주면 마찰력이 발생하는 경우로 옳지 않은 것은?
① 연약지반에 말뚝을 타입한 후 성토하는 경우
② 말뚝 주변 지하수위가 내려가는 경우
③ 상재하중이 말뚝 주변 지표면에 작용하는 경우
④ 연약지반에 말뚝 타입 후 말뚝 주변 지표 지반을 굴착 제거하는 경우
난이도 및 평가
난이도 중하의 문제이며 정말 자주나오는 문제이다. 기사에서도 나오는 문제이다.
<해설>

1) 말뚝을 타입한후 흙을 성토하면 주위 흙이 말뚝에 내리는 힘을 작용하게 된다
2) 말뚝 주변 지하수위가 내려가는 경우 유효응력이 증가하게 되어 압밀이 발생한다 따라서 부주면마찰력이 작용하게 된다.
3) 상재하중이 말뚝 주변 지표면에 작용해도 주위 흙이 말뚝을 끌어내리는 힘을 주게 된다.
4) 지표지반의 굴착을 제거하는경우 흙이 팽창하게 되어 말뚝을 끌어올린다.
문 12. 그림과 같은 높이 6m의 옹벽 배면에 단위중량 18kN/m³, 내부마찰각 30°인 사질토 지반이 위치한다. 옹벽의 수평변위가 전혀 일어나지 않도록 지지하기 위한 정지토압[kN/m]의 크기와 옹벽 저면으로부터의 작용위치[m]는?

정지토압 작용위치
① 162 2.0
② 182 2.0
③ 162 4.0
④ 182 4.0
난이도 및 평가
난이도 중의 문제이며 한문제에 풀어야할것이 두개이다.
<해설>
K0 = 1 - sinΦ = 1 - sin30 = 0.5

토압은 삼각 분포 하중이므로
6m x ⅓ = 2m
728x90
728x90
'7급 토목직 풀이 > 7급 토질역학 문제풀이' 카테고리의 다른 글
| 2012년 국가직7급 토질역학 17~20번 해설 (0) | 2022.01.14 |
|---|---|
| 2012년 국가직7급 토질역학 13~16번 해설 (0) | 2022.01.13 |
| 2012년 국가직7급 토질역학 5~8번 해설 (0) | 2022.01.04 |
| 2012년 국가직 7급 토질역학 1~4번 해설 (0) | 2021.12.30 |
| 2011년 국가직 7급 토질역학 17~20번 해설 (0) | 2021.12.29 |