728x90


난이도 및 평가
난이도 하로 공식만 알고있으면 금방 푸는 문제다.
해설

문 7. 포화점토지반에 축조된 점토제방의 사면 및 절토사면의 안정에 대한 설명으로 옳지 않은 것은?
① 포화점토지반의 절토사면에서 시간에 따른 안전율은 시공완료시점 이후부터는 점차 증가한다.
② 포화점토지반의 절토사면에서 시간에 따른 흙의 전단강도는 시공완료시점 이후부터는 점차 감소한다.
③ 포화점토지반 위에 축조된 점토제방에서 시간에 따른 안전율은 시공완료시점에서 가장 작고 그 이후부터는 점차 증가한다.
④ 포화점토지반 위에 축조된 점토제방에서 시간에 따른 흙의 전단강도는 시공완료시점 이후부터는 점차 증가한다.
난이도 및 평가
난이도 중상으로 포화된 점토가 마찰각이 0도인 것과 제방이 성토라는 것을 알면 된다.
해설
성토 = 제발 축조 = 흙댐 시공
이 위에 것을 알고있자.
| 성토 | 절토 | |
| 시공 직후 | 가장위험 | 가장안정 |
| 시공후 | 안전율이 높다 | 안전율이 낮다 |
문 8. 그림과 같이 기울기 45도의 전단파괴면을 갖는 연직사면의 안전율은? (단, 단위폭당 파괴쐐기의 무게는 W, 단위폭당 전단파괴면의 면적은 L, 연직사면을 구성하는 토체의 점착력은 0, 내부마찰각은 Φ이다)

난이도 및 평가
난이도 하이다. 트릴면 안된다.
해설
300x250


문 9. 연성기초의 탄성(즉시)침하에 대한 설명으로 옳지 않은 것은?
① 탄성(즉시)침하량은 기초에 작용하는 압력이 커질수록 증가한다.
② 탄성(즉시)침하량은 지반의 탄성계수가 커질수록 증가한다.
③ 탄성(즉시)침하량은 기초의 폭이 커질수록 증가한다.
④ 기초의 설치심도가 깊어질수록 더 작은 침하가 발생한다.
난이도 및 평가
난이도 중이며 기사에서도 나온다. 그림을 외워두면 쉽다.
해설
탄성 침하량 공식을 외우도록하자

- Qnet(압력) 이 커지면 침하량 증가
- E가 커질수록 감소
- B가 커질수록 증가
- Qnet= q- γDf이므로 Df가 증가하면 Qnet가 작아지므로 침하량 감소
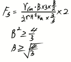
문 10. 그림과 같이 폭이 B로 일정하고 높이가 3m인 옹벽을 세우고자 한다. 전도에 대한 안전율을 2로 적용할 경우, 옹벽의 최소폭 B[m]는? (단, 흙의 단위중량은 16kN/m³, 콘크리트의 단위중량은 24kN/m³, 주동토압계수는 1/3 이다)

난이도 및 평가
난이도 하이다 숫자만 계산할줄 알면 정말 쉽다.
해설


728x90
728x90
'7급 토목직 풀이 > 7급 토질역학 문제풀이' 카테고리의 다른 글
| 2013년 국가직7급 토질역학 16~20번 해설 (0) | 2022.01.18 |
|---|---|
| 2013년 국가직7급 토질역학 11~15번 해설 (0) | 2022.01.17 |
| 2013년 국가직7급 토질역학 1~5번 해설 (0) | 2022.01.15 |
| 2012년 국가직7급 토질역학 17~20번 해설 (0) | 2022.01.14 |
| 2012년 국가직7급 토질역학 13~16번 해설 (0) | 2022.01.13 |