728x90

문 5. 포화된 점토지반의 지지력에 대한 설명으로 옳지 않은 것은?
① 지지력은 근입깊이가 깊을수록 증가한다.
② 기초 형상에 따라 지지력은 달라진다.
③ 지지력은 점착력에 의존한다.
④ 기초 폭이 클수록 지지력은 증가한다.
난이도 및 평가
난이도 하 이며 기사에서도 나오는 문제이므로 쉬운문제이다. 개념을 묻는 문제이므로 중요한 문제이긴 하다.
<해설>

첫번째로 알고 가야하는것은
포화된 점토지반은 마찰각이 0도이며 Nc=5.4 or 5.14, Nr=0 , Nq=1인것은
아주 기본으로 알고 있어야한다. 외워야한다.
그렇다면 Nr=0이므로 기초폭과 상관없이 지지력은 점착력과 흙의 중량 그리고 기초의 깊이에 의해 결정된다.
문 6. 다음 그림의 응력경로에 대한 설명으로 옳지 않은 것은?

① OA 경로에서 σ1, σ3 각각의 응력변화량의 절대값은 같다.
② OB는 수평방향 인장시험의 응력경로를 의미한다.
③ OC 경로에서 σ1, σ3 각각의 응력변화량의 절대값은 다르다.
④ OD는 수직방향 압축시험의 응력경로를 의미한다.
난이도 및 평가
난이도 중상 수준이며 이 그래프의 의미를 알고 있어야한다.
300x250
<해설>

일단 위 그래프에 표시된 것을 외우도록하자
C축 왼쪽으로는 인장 오른쪽으로는 압축
오른쪽 대각선은 축방향 압축
왼쪽대각선으로는 축방향 인장이다.
이것만 알고있으면 어렵지가 않다.
1) OA방향은 일단 y좌표가 0이므로 σ1, σ3가 같은 값임을 알수있다.
2) OB방향은 인장이 맞다. 왜냐하면 OB방향은 σ1-σ3값이 +인데 σ3가 (-)가 되어야 +값을 가지고
1:1로 값이 같으므로 σ1는 0이고 σ3는 (-)값이다.
3) 같고 부호가 다르므로 x축이 움직이지 않는다
4) 맞다.
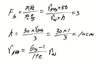
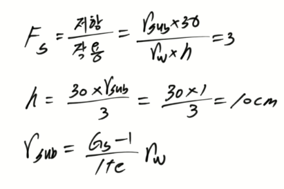
문 7. 그림과 같은 장치에서 분사현상에 대한 안전율이 3이 되려면 h[cm]는? (단, 흙의 비중은 2.65, 간극비는 0.65이다)

① 10 ② 20
③ 30 ④ 40
난이도 하의 문제다 기사에서도 나온다.
하지만 분사현상에 대해 이해를 하고 가야하는 좋은문제이다
<해설>


문 8. 단위중량 18kN/m³, 내부마찰각 30°, 점착력 9kN/m²인 흙을 지지하고 있는 높이 6m의 옹벽 배면토에 인장균열이 발생하였다. 인장균열이 발생하기 전에 비해 발생 후 옹벽에 작용하는 전체 주동토압[kN/m]의 변화는?

① 9 증가
② 18 증가
③ 9 감소
④ 18 감소
난이도 중처럼보이는 하, 개념을 정확히 이해하면 푸는데 20초도 안걸리는 꽁문제이다.
<해설>

인장균열 후에는 항상 옹벽의 압력은 증가한다를 알고있자.
728x90
728x90
'7급 토목직 풀이 > 7급 토질역학 문제풀이' 카테고리의 다른 글
| 2012년 국가직7급 토질역학 13~16번 해설 (0) | 2022.01.13 |
|---|---|
| 2012년 국가직7급 토질역학 9~12번 해설 (0) | 2022.01.06 |
| 2012년 국가직 7급 토질역학 1~4번 해설 (0) | 2021.12.30 |
| 2011년 국가직 7급 토질역학 17~20번 해설 (0) | 2021.12.29 |
| 2011년 국가직 7급 토질역학 13~16번 해설 (0) | 2021.12.28 |