728x90

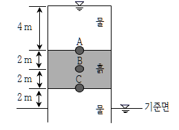
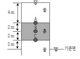
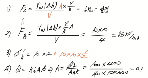
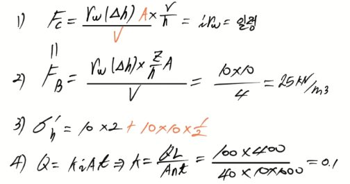
문 16. 그림과 같은 흙기둥에서 물이 A에서 C로 흐르고 있다. 상부 및 하부 수위가 그림과 같이 항상 일정하게 유지되면서 10초 동안에 100cm³의 유량이 통과하였을 때, 이에 대한 설명으로 옳지 않은 것은? (단, 모든 손실수두는 흙에서만 일어나고, 흙의 포화단위중량은 20kN/m³, 물의 단위중량은 10kN/m³, 흙기둥의 단면적은 40cm²이다)

① A점과 B점의 압력수두 차이는 3m이다.
② B점의 단위체적당 침투수력은 25kN/m³이다.
③ B점의 유효응력은 70kN/m²이다.
④ 흙의 투수계수는 1.0cm/sec이다.
난이도 및 평가
난이도 상으로 정확한 이해가 필요하다.
해설

위의 그림만보면 이해가 갈 것이다.

문 17. 암석시료 채취기(Sampler)의 관입깊이가 100cm이었고, 이때 채취된 암석 시료를 상부로부터 차례대로 배열하면 암석 코아 길이가 각각 5cm, 8cm, 12cm, 6cm, 15cm, 9cm, 23cm, 12cm이었다. 이런 경우에 암석의 회수율(Recovery Ratio)과 RQD(Rock Quality Designation)는?
회수율 RQD
① 1.0 0.38
② 1.0 0.62
③ 0.9 0.38
④ 0.9 0.62
난이도 및 평가
난이도 하로 어려운 문제가 아니므로 그냥 한번풀고 외워둔다. 가끔 기사에서도 나오는 문제이다.
해설

= (5++8+12+6+15+9+23+12)/100 = 90/100
RQD= ∑10cm이상 회수Core길이 / 굴진 깊이 = 62 / 100 =0.62
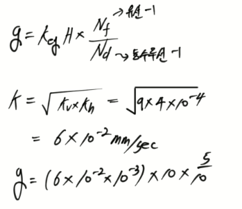
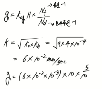
문 18. 수평방향 투수계수와 수직방향 투수계수가 각각 9×10^(-2)mm/sec와 4×10^(-2)mm/sec인 지반에 강널말뚝을 타입하고, 강널말뚝 앞뒤의 수위차를 10m로 유지하였다. 물 흐름을 해석하기 위해 좌표변환을 수행하여 지반내(지반 경계선 포함)에서 작도된 유선망이 11개의 등수두선과 6개의 유선으로 이루어졌다면, 지반을 통한 단위폭 당 침투유량[m³/sec/m]은?

난이도 및 평가
난이도 중으로 한번풀면 외우게 된다. 기사에서도 나오는 문제이니 틀리지말자.
해설

문 19. 과압밀 점토시료를 사용하여 압밀 비배수 삼축압축시험을 수행하였다. 시험 결과에 가장 부합하는 유효응력경로는?


난이도 및 평가
난이도 상이지만 한번 이해를 하면 풀기 쉬운문제이다. 기사에서는 자주 나오지 않지만 공무원시험에서는 이 개념을 이용하여 문제를 응용해 낼 수 있다.
해설
CU시험시 과압밀 점통의 간극수압을 먼저 알아야 한다.

조밀한 모래 = 과압밀 점토 를 알고 있자
처음에는 + 과잉간극수압이 발생하나 시간이 지날수록 (-)간극수압이 발생한다.

그래서 처음에는 전응력선 왼쪽에 존재하나 (-)간극 수압이 발현되고 부터는 전응력선 오른쪽에 위치하게 된다.
문 20. 구속압력 40kPa로 포화점토의 비압밀 비배수 삼축압축시험을 수행하는데 축차응력이 66kPa일 때 시편이 파괴되었다. 비배수 전단강도는? 만약 동일한 흙을 사용하여 비배수 상태로 일축압축강도 시험을 수행한다면, 축하중이 얼마일 때 시료가 파괴되는가? (단, 시료에 실크랙이 없다고 가정한다)
비배수 전단강도[kPa] 축하중[kPa]
① 33 66
② 33 106
③ 66 66
④ 66 106
난이도 및 평가
난이도 중으로 그림을 그리면 아주 쉬운 문제이므로 어떻게 푸는지 머리속에 기억해두도록 하자.
해설


728x90
728x90
'7급 토목직 풀이 > 7급 토질역학 문제풀이' 카테고리의 다른 글
| 2014년 국가직7급 토질역학 6~10번 해설 (0) | 2022.01.23 |
|---|---|
| 2014년 국가직7급 토질역학 1~5번 해설 (0) | 2022.01.19 |
| 2013년 국가직7급 토질역학 11~15번 해설 (0) | 2022.01.17 |
| 2013년 국가직7급 토질역학 6~10번 해설 (0) | 2022.01.16 |
| 2013년 국가직7급 토질역학 1~5번 해설 (0) | 2022.01.15 |