728x90

문 1. 자연시료에 대한 일축압축시험 결과 qu=4.0kN/m²를 얻었다. 이 시료를 교란시킨 후 재성형된 공시체로 다시 일축압축시험을 실시하여 qu=1.5kN/m2를 얻었을 때, 이 시료의 예민비는?
① 0.375
② 1.33
③ 2.15
④ 2.67
난이도 및 평가
난이도 하의 문제로 예민비의 범위만 알면 된다.
해설

문 2. 두께가 7m인 연약점토층의 초기간극비가 1.0이다. 5m의 높이로 성토 후 기존 점토층의 간극비가 0.7로 감소한다면 성토로 인한 연약점토층의 압밀침하량[m]은?
① 0.75
② 1.05
③ 1.36
④ 1.91
난이도 및 평가
난이도 중으로 아주 마르고 닳도록 나오는 문제이니 외우자.
해설

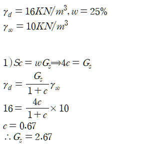
문 3. 완전히 포화된 흙의 건조단위중량과 함수비가 각각 16kN/m³와 25%일 때, 이 흙의 간극비(e)와 비중(Gs)은? (단, 물의 단위중량은 10kN/m³로 가정한다)
간극비(e) 비중(Gs)
① 0.63 2.52
② 0.65 2.60
③ 0.67 2.67
④ 0.68 2.72
난이도 및 평가
해설
※ 완전포화상태란 S=100%를 말한다

문 4. 지하구조물 설치를 위해 다음 그림과 같이 지반을 굴착하였을 때 굴착부 측면 A지점과 하부 B지점 각각에 대한 흙의 응력경로를 p-q도상에 옳게 표시한 것은?

A지점 B지점
① 가 라
② 나 라
③ 가 다
④ 나 다
난이도 및 평가
난이도 중의 문제로 p-q가 어떤것을 나탄내는지 알아야한다.
해설


위의 것들만 알면된다.
B는 흙이 없어져서 누르는 힘이 없으므로 축방향으로 인장이 되고
A는 옆에 흙이 없어서 측방향으로 인장이 된다.
p와 q는 위의 값과 같고
이에 따라 계산을해보면
A는 가 상태가 되고
B는 라 상태가 된다.
대충 숫자라도 넣어서 계산해봐라
토질역학은 +가 압축이고 -가 인장이다.
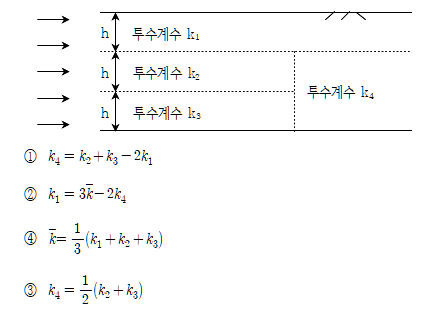
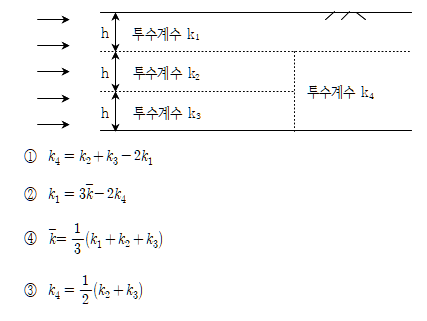
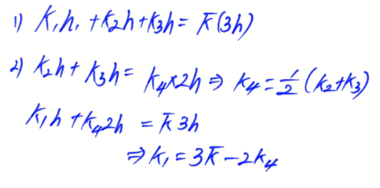
문 5. 지표면까지 포화된 지반의 투수계수의 분포도는 다음 그림과 같다. 지하수가 수평방향으로만 흐른다면 지반의 등가 수평투수계수 K' 및 각 층의 투수계수에 대한 상관관계를 설명한 것 중 옳지 않은 것은?

난이도 및 평가
난이도 중상의 문제이다. 문제자체는 어렵지 않으나 이식 저식 해보면서 유도해야 하는 과정이 길다.
해설

728x90
728x90
'7급 토목직 풀이 > 7급 토질역학 문제풀이' 카테고리의 다른 글
| 2014년 국가직7급 토질역학 11~15번 해설 (0) | 2022.01.24 |
|---|---|
| 2014년 국가직7급 토질역학 6~10번 해설 (0) | 2022.01.23 |
| 2013년 국가직7급 토질역학 16~20번 해설 (0) | 2022.01.18 |
| 2013년 국가직7급 토질역학 11~15번 해설 (0) | 2022.01.17 |
| 2013년 국가직7급 토질역학 6~10번 해설 (0) | 2022.01.16 |