
문 6. 다음 그림은 옹벽 배면 벽체의 변위에 따른 수평토압의 변화를 나타낸 것이다. 이에 대한 설명 중 옳지 않은 것은?

① 내부마찰각이 클수록 Pa값이 감소한다.
② 벽체의 변위 a가 일반적으로 벽체의 변위 b보다 크다.
③ P0상태를 탄성평형으로 가정하여 토압계수를 유추할 수 있다.
④ P0상태의 모어원은 파괴포락선 아래에 존재한다.
난이도 및 평가
난이도 중으로 옹벽의 수동토압과 주동토압을 잘 비교하면 쉽게 맞힐 수 있는 문제이다.
해설
1번

주동토압의 공식은 위와 같다. 내부마찰각이 커지면 tan이 작아지므로 자연스럽게 Pa값이 작아진다.
2번.
수동토압이 발현되기 위해 필요한 변위는 주동토압이 발현되는 변위보다 크다.
벽체의 변위 b가 일반적으로 벽체의 변위 a보다 크다.
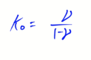
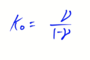
3번.
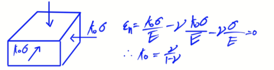
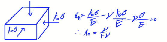
P0상태는 탄성평형으로 가정할 경우에는

위의 공식으로 유추할 수 있다.
저 식을 유도하는 과정은

4번
P0는 정지토압 상태로 파괴상태가 아니고 안정사태이다. 따라서 파괴가 발생하지 않았으므로
모어원이 파괴포락선 밑에 존재한다.
문 7. 무리말뚝의 배열과 관련된 설명 중 옳지 않은 것은?
① 무리말뚝의 배치는 정사각형, 직사각형, 지그재그 등으로 하는 것이 좋으며, 가능한 한 대칭으로 치하는 것이 좋다.
② 각 말뚝의 하중분담률이 큰 차이가 나지 않도록 한다.
③ 경사면에 말뚝을 타입하는 순서는 높은 쪽부터 낮은 쪽으로 한다.
④ 무리말뚝을 타입할 때 중앙부보다 주배변의 말뚝을 먼저 타입한다.
난이도 및 평가
난이도 하이다. 기사에서도 가끔가다가 나오는 문제인데 상식적으로 생각해도 금방 풀 수있는 문제이다.
해설
※ 무리말뚝(군항).
1. 타입방향 : 고 -> 저 , 중간 -> 주변, 육지 -> 바다
2. 배치 : 대칭 배치
3. 하중분담 : 차이가 작게
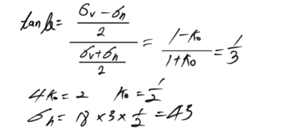
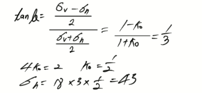
문 8. 임의의 지반에서 응력상태를 p-q도상에 표시하면 그림과 같이 K0-line에 위치하게 된다. 이때 지표면으로부터 깊이 5m에서 채취한 시료의 원위치수평응력[kN/m²]은? (단, K0-line 기울기를 β라 할 때, tanβ=1/3, 지반의 단위중량은 18kN/m²이다)

① 22.5
② 45
③ 90
④ 180
난이도 및 평가
난이도 하이다. Ko-line이 무엇인지만 알면 금방푸는 문제이다.
해설


문 9. 현장다짐 후 들밀도시험을 수행하였다. 들밀도시험을 위해 굴착된 굴착체적 V=1,000cm³, 흙입자만의 무게 W=18N이었다. 실내표준다짐시 최대건조단위중량이 γd(max)=20kN/m³로 얻어졌다면 이 현장의 상대다짐도[%]는?
① 80
② 85
③ 90
④ 95
난이도 및 평가
난이도 하이다. 기사에서도 마르고 닳도록나온다. 틀리면 정상아니다.
해설

문 10. 다음 그림과 같은 암반사면에 불연속면 AB가 있으며 AB면 틈에는 포화점토가 전체적으로 협재되어 있다. 이때 상부 암반의 활동에 대한 안전율은? (단, 점토의 비배수점착력 Cu=45kN/m²,암반의 단위중량 γ=20kN/m³, 선AB 윗부분의 면적은 9.0m²이다)

① 1.0
② 2.0
③ 4.0
④ 5.0
난이도 및 평가
난이도 중으로 당장에는 어려워보일 수 있으나 정말 단순한 문제이다.
해설


'7급 토목직 풀이 > 7급 토질역학 문제풀이' 카테고리의 다른 글
| 2014년 국가직7급 토질역학 16~20번 해설 (0) | 2022.01.25 |
|---|---|
| 2014년 국가직7급 토질역학 11~15번 해설 (0) | 2022.01.24 |
| 2014년 국가직7급 토질역학 1~5번 해설 (0) | 2022.01.19 |
| 2013년 국가직7급 토질역학 16~20번 해설 (0) | 2022.01.18 |
| 2013년 국가직7급 토질역학 11~15번 해설 (0) | 2022.01.17 |