728x90

문 16. 지반의 미소요소에 그림과 같은 응력이 작용하고 있다면, 수평면과 45° 기울어진 단면 A-A에 작용하는 수직응력과 전단응력은? (단, Mohr원에서 수직응력의 경우 압축력을 (+)로 전단응력의 경우 반시계방향회전을 (+)로 표시하며, 응력의 단위는 kN/m²이라 가정한다)

수직응력 전단응력
① 300 -100
② 300 100
③ 100 -100
④ 100 100
난이도 및 평가
난이도 하, Mohr-Coulomb의 파괴이론에서 공식만 잘 뽑아쓰면 된다
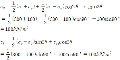
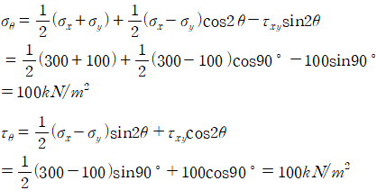
해설


위 공식으로부터 숫자를 대입하면

문 17. 점성토 지반의 내부마찰각(Φ)이 30°, 선행압밀압력(Pc)이 200kN/m², 현재 받고 있는 유효연직응력(P)이 50kN/m²일 때, 과압밀계수(OCR)를 활용하여 구한 이 점성토 지반의 정지토압계수는?
① 2.0
② 1.5
③ 1.0
④ 0.5
난이도 및 평가
난이도 중상, 과압밀비를 이해하고 과압밀비에 따라 지반의 상태를 파악하고 이에따라 정지토압계수를 구하는 것이 달라진다. 그리고 2019년 2020년? 시험에서 과압밀점토일때 정지토압계수를 새롭게 정의했으므로 암기하고 가야한다.
해설

문 18. 흙의 간극을 물이 아닌 기름이 채우고 있다. 흙의 비중(Gs)이 2.65, 물의 단위중량(γw)이 10kN/m³ 기름의 단위중량(γoil)은 9kN/m³기름의 포화도(S)는 50%이며 간극비(e)가 1일 때, 이 흙의 단위중량은?
① 16.5kN/³
② 16.0kN/³
③ 15.5kN/³
④ 15.0kN/³
난이도 및 평가
난이도 상, 흙의 3상을 이해하지 못하면 어려운 문제이다.
해설

문 19. 다짐 시 최적의 다짐상태는 최적함수비보다 함수비가 작은 건조 측에서 또는 최적함수비보다 함수비가 큰 습윤 측에서 도달될 수 있다. 이와 관련하여 점성토의 다짐에 대한 설명으로 옳지 않은 것은?
① 낮은 압력에서는 최적함수비의 건조 측 압축성이 습윤 측 압축성보다 작다.
② 최적함수비의 건조 측 투수계수가 습윤 측 투수계수보다 작다.
③ 높은 압력에서는 최적함수비의 건조 측 압축성이 습윤 측 압축성보다 크다.
④ 최적함수비의 건조 측 강도가 습윤 측 강도보다 크다.
난이도 및 평가
난이도 중, 기사에서도 자주나오는 문제이고 앞으로도 자주 출제될 문제이니 잘 봐두도록 하
해설
① 낮은 압력에서는 면모구조를 파괴할 압력에 미치지 못하므로 면모구조 압축성이 습윤 측 압축성보다 작다.
② 최적함수비의 건조 측 투수계수가 습윤 측 투수계수보다 크며 그 이유는 건조 측에서는 입자 배열이 불규칙적이므로 물이 통과할 수 있는 공극이 많기 때문이다.
③ 높은 압력에서는 면모구조 사이사이 공극을 더 크게 줄이므로 이산구조보다 압축성이 크다.
④ 면모구조가 이산구조보다 결합력이 크므로 강도가 더 크다.
문 20. 지반 내에서 발생할 수 있는 모세관현상에 대한 설명으로 옳지 않은 것은?
① 모세관현상의 상승고는 입경이 작을수록 증가한다.
② 모세관현상이 발생된 구역에서는 부(-)의 간극수압이 발생하므로, 전응력이 유효응력보다 작다.
③ 모세관현상이 시작되는 자유수면에서의 간극수압은 물의 단위중량×모세관의 상승고이다.
④ 모세관현상이 발생하는 구역이라 할지라도 포화도가 반드시 100%인 것은 아니며, 자유수면으로부터의 높이에 따라 포화도는 변할 수 있다.
난이도 및 평가
난이도 ,
해설
모세관현상의 공식은 두개로 이루어지는데.


이로부터
1. 모세관상승고 높이는 입경이 작을수록 증가한다.

2. 모세관현상이 발생하는 경우 수면을 전수두0으로 가정할 경우 부의 간극수압이 발생한다.
3. 자유수면의 간극수압은 0이다.
4. 모세관현상이 발생하였다고 포화된것은 아니다
728x90
728x90
'7급 토목직 풀이 > 7급 토질역학 문제풀이' 카테고리의 다른 글
| 2019년 국가직7급 토질역학 6~10번 해설 (0) | 2024.03.11 |
|---|---|
| 2019년 국가직7급 토질역학 1~5번 해설 (0) | 2024.03.10 |
| 2018년 국가직7급 토질역학 11~15번 해설 (0) | 2022.08.12 |
| 2018년 국가직7급 토질역학 6~10번 해설 (0) | 2022.08.07 |
| 2018년 국가직7급 토질역학 1~5번 해설 (0) | 2022.08.04 |