728x90

문 11. 지진과 같은 갑작스러운 동적 하중에 의한 액상화 현상에 대한 설명으로 옳지 않은 것은?
① 액상화 가능성을 반복삼축압축시험으로 평가하는 경우 배수상태에서 시험을 수행한다.
② 세립분 함량이 50% 이상인 점성토는 액상화 가능성이 작다.
③ 액상화 현상이 발생하면 보일링 현상을 수반하기도 한다.
④ 액상화 과정에서 간극수압의 증가로 유효응력이 감소하여 전단강도를 상실한다.
난이도 및 평가
난이도 상, 이 문제가 왜 나왔을까? 2017년 대한민국에서 처음으로 지진으로 인한 액상화 현상이 포항에서 일어났기 때문이다. 개념, 원리를 잘 이해할 필요가 있다.
해설
★ 액상화 현상
액상화 현상이란 흙에 응력이 가해질때 흙속에 있는 수분이 지진과 같은 진동으로 인해 동하중이 발생하게 되고 과잉간극수압으로 이어져 전단강도를 상실하게 되어서 액체처럼 움직이는 현상이다
1. 발생조건
ㅇ 흙속에 물이 존재할 것
ㅇ 흙속이 모래 또는 실트질로 구성되어 있을 것(두터울 수록 발생가능성이 높음)
① 액상화 판단을 위해서 반복삼축압축시험을 하는것이 맞으나 과잉간극수압을 실현해야 하므로 비배수상태에서 시험을 수행한다.
② 점성토가 있을 경우 과잉간극수압이 일어나더라도 점섬토의 점착력으로 인해 흙을 잡아줘서 액상화가 일어나는 것을 어느정도 제어한다.
③ 흙의 유효응력이 0이 되므로 흙이 끓는 현상이 일어난다.
④ 액상화가 일어나는 조건이다. 맞는말이다.
문 12. 옹벽의 높이가 H이고, 뒤채움흙이 수평인 점토지반에서는 옹벽 상단에서 어느 정도의 깊이까지는 부(-)의 토압이 작용하게 된다. 부(-)의 토압이 발생되는 깊이(Z0)는?

난이도 및 평가
난이도 하, 인장균열에 대해 묻고있으며 어렵지 않다. 외워두도록 한다.
해설

따라서 정답은 4번이다.
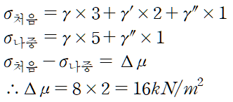
문 13. 굴착공사로 주변의 지하수위가 전체적으로 지표면 아래 3m에서 5m로 하강하였을 때, 지하수위 하강 직후 점토층 중간지점에서의 과잉간극수압은?

① 10kN/m²
② 16kN/m²
③ 22kN/m²
④ 28kN/m²
난이도 및 평가
난이도 하, 원리를 알고 있을경우 너무 쉬운 문제라는 것을 짐작할 수 있다. 단순 계산문제이기에 난이도 하를 부여한다. 그러나 주의 할 점은 '점토층 중간지점'이라는 문구를 자세히 보아라.
해설


난이도 및 평가
난이도 상, 파괴포락선의 기울기와 절편을 구해야하며 p-q도의 이해또한 필요하다.
해설
※ 참고
조건 1) 정규압밀점토 : c = 0
조건 2) p-q다이어그램 : 모아원의 정점을 이은 것


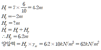
문 15. 그림과 같이 두께 13m의 투수성 지반에 40m 길이의 수리구조물을 설치하였다. 이 수리구조물 설치에 의한 수위차는 7m이고, 투수성 지반에 대한 유선망을 도시하면 그림과 같다. 이때 A점에 작용하는 양압력은?


① 62 kN/m²
② 72 kN/m²
③ 82 kN/m²
④ 92 kN/m²
난이도 및 평가
난이도 중, 양압력이라는 의미를 이해해야하고 수리구조물이 나와서 헷갈릴수도 있다.
해설

※양압력
구조물이 아래로 물이 흐를때 구조물을 들어올리는 압력
728x90
728x90
'7급 토목직 풀이 > 7급 토질역학 문제풀이' 카테고리의 다른 글
| 2019년 국가직7급 토질역학 1~5번 해설 (0) | 2024.03.10 |
|---|---|
| 2018년 국가직7급 토질역학 16~20번 해설 (0) | 2023.01.03 |
| 2018년 국가직7급 토질역학 6~10번 해설 (0) | 2022.08.07 |
| 2018년 국가직7급 토질역학 1~5번 해설 (0) | 2022.08.04 |
| 2017년 국가직7급 토질역학 16~20번 해설 (0) | 2022.06.07 |