728x90

문 6. 그림과 같이 지하수위가 지표면과 일치하는 반무한 모래사면의 안전율은? (단, 물의 단위중량은 10KN/m³이라고 가정하고, 속도수두는 무시한다)

① 0.5
② 1.0
③ 1.5
④ 2.0
난이도 및 평가
난이도 하, 공식만 정확하게 외우고 있다면 대입만하면 간단하게 풀 수 있는 문제이다.
해설

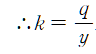
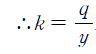
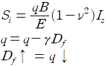
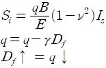
문 7. 다음 중 지반반력계수(K)에 대한 설명으로 옳지 않은 것은?
① 지반반력계수는 기초의 형상에 따라 변화하는 성질이 있다.
② 기초의 크기(B)가 커지면 즉시침하량(Si)이 커지므로 지반반력계수(K)는 작아진다.
③ 근입깊이가 커지면 즉시침하량(Si)가 감소되어 지반반력계수(K)가 커진다.
④ 지반의 탄성계수( Es)가 증가하면 즉싳미하량(Si)이 작아지므로 지반반력계수(K)는 작아진다.
난이도 및 평가
난이도 상, 자주나오는 문제가 아니므로 어려운 문제이다. 다양한 공식과 이해해야할 부분이 있다.
해설
① 옳은 보기이다. 지반반력계수는 기초의 크기와 형상 깊이에 따라 변한다.
②


로부터 q-y 응력 침하량 그래프에서 K 는 기울기를 나타낸다.

그리고 Si로부터 B가 상승하면 Si가 커지고 K는 작아진다.
③

④ 지반의 탄성계수가 커지면 Si는 작아지고 K는 커진다.
300x250
문 8. 절편법을 이용한 사면안정해석 중에서 가상파괴면의 한 절편에 작용하는 힘의 상태를 그림으로 나타내었다. 다음 설명 중 옳지 않은 것은?

난이도 및 평가
난이도 상, 2~3년에 한번씩 나오는 문제이다. 외워두면 그냥 풀면되지만 이해가 안가면 풀기 어렵다.
해설
① 펠레니우스 방법은 단기안정해석=전응력해석 방법이고 양쪽에 작용하는 힘들을 무시하는 이유는 양쪽 작용하는 힘을 0이기 때문이다. Φ=0해석으로 부르기도 한다.
② 맞는 말이다. 절편의 높이 x 절편의 폭은 넓이를 뜻하기 때문이다.
③ Bishop의 간편법 Tn+1 (-) Tn = 0 이다.
④ 얀부의 간편법은 수정계수를 이용하여 보정한다.
문 9. 그림과 같이 완전 포화된 비배수상태의 균질한 점성토로 뒤채움된 옹벽이 있다. 이때 최대인장균열이 발생하기 전과 후에 옹벽에 가해지는 주동토압의 크기 차이는? (단, 옹벽 뒤채움흙의 일축압축강도는 20KN/m², 단위중량은 20KN/m³이며 흙과 옹벽 사이에 마찰은 없다)

① 10KN/m²
② 40KN/m²
③ 80KN/m²
④ 90KN/m²
난이도 및 평가
난이도 하, 공식만 외우면 충분히 풀 수 있는 문제이다.
해설

문 10. 단위중량은 16KN/m², 내부마찰각은 30°인 모래지반을 6m 굴착하기 위해 아래 그림과 같이 흙막이벽을 설치하고자 한다. O점(고정단)에 대한 전도의 설계안전율이 1.5일 때, 지표면으로부터 2m 깊이에 설치된 버팀보에 작용하는 하중은? (단, 흙막이벽은 강성벽체이며 벽체자중과 벽면마찰력은 고려하지 않고, 토압은 Rankine 토압이론을 적용하여 삼각형분포로 가정한다)

① 108 kN
② 110 kN
③ 112 kN
④ 115 kN
난이도 및 평가
난이도 상, 계산실수하면 골로가는 문제. 하지만 문제자체는 크게 어렵지 않다.
해설


P = 108
728x90
728x90
'7급 토목직 풀이 > 7급 토질역학 문제풀이' 카테고리의 다른 글
| 2018년 국가직7급 토질역학 16~20번 해설 (0) | 2023.01.03 |
|---|---|
| 2018년 국가직7급 토질역학 11~15번 해설 (0) | 2022.08.12 |
| 2018년 국가직7급 토질역학 1~5번 해설 (0) | 2022.08.04 |
| 2017년 국가직7급 토질역학 16~20번 해설 (0) | 2022.06.07 |
| 2017년 국가직7급 토질역학 11~15번 해설 (0) | 2022.05.03 |