728x90

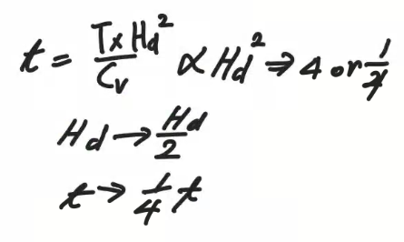
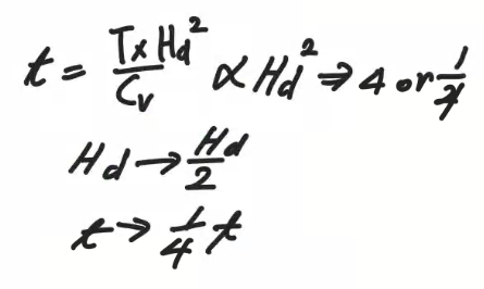
문 11. 동일한 점토층에 대해 양면배수상태로 압밀시키는 경우가 일면배수상태로 압밀시키는 경우보다 몇 배의 압밀시간이 소요되는가?
① 2
② 1/2
③ 4
④ 1/4
난이도 및 평가
난이도 하, 기사에서도 나오는 문제이므로 틀리면 안된다
해설

문 12. 포화된 점토시료에 대하여 비압밀비배수상태(UU)의 삼축압축시험을 실시하였다. 시료를 셀 내부에 거치한 후 간극수압을 측정해 보니 0kN/m²이었고, 이후 축차응력을 가하기 전 구속압력을 20kN/m²까지 적용하였다. 이때의 간극수압[kN/m²]은?
① 0
② 10
③ -20
④ 20
난이도 및 평가
난이도 중으로 지금까지 자주 나왔다. 푸는방법 외우도록 하자.
해설
300x250

※ 간극수압이 -20이 아닌 이유는
(-)간극수압은 모관현상 또는 체적 팽창현상에서 생긴다
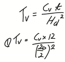
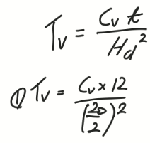
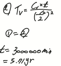
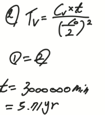
문 13. 10m 두께의 점토층에서 채취한 점토시료를 사용하여 압밀시험(양면배수조건, 시료의 지름 75mm와 높이 20mm)을 수행한 결과 50% 압밀시키는 데 12분이 걸렸다. 만약 이 현장의 배수조건이 실험실 배수조건과 같다면 10m 두께의 점토층이 50% 압밀에 도달하는 데 걸리는 시간[년]은?
① 5.23
② 5.71
③ 6.18
④ 6.66
난이도 및 평가
난이도 상, 그냥 계산이 개더럽기 때문이다.
해설


1번과 2번이 같은 이유는같은 흙이기 때문이다.

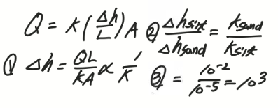
난이도 및 평가
난이도 중, 공무원시험에서는 자주나오는 문제이다.
해설
조건 : Q, A ,V 일정

문 15. 그림과 같이 옹벽 배면의 지표면에 등분포하중이 작용하고 있다. 옹벽 배면에 발생하는 인장균열의 깊이[m]는?

① 0.5
② 1.0
③ 1.5
④ 2.0
난이도 및 평가
난이도 중, 인장균열의 개념을 이해하고 등분포하중만 잘 고려하면 쉽게 풀 수 있는 문제이다.
해설

728x90
728x90
'7급 토목직 풀이 > 7급 토질역학 문제풀이' 카테고리의 다른 글
| 2015년 국가직 7급 토질역학 1~5번 해설 (1) | 2022.01.28 |
|---|---|
| 2014년 국가직7급 토질역학 16~20번 해설 (0) | 2022.01.25 |
| 2014년 국가직7급 토질역학 6~10번 해설 (0) | 2022.01.23 |
| 2014년 국가직7급 토질역학 1~5번 해설 (0) | 2022.01.19 |
| 2013년 국가직7급 토질역학 16~20번 해설 (0) | 2022.01.18 |