728x90


난이도 및 평가
난이도 하, 기사에서도 나오는 문제이므로 틀리면 안되는 문제이다.
해설

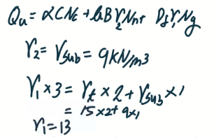
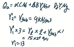
문 17. 그림과 같이 배면이 사질토로 채워진 중력식 옹벽의 활동에 대한 안전율은?
(단, Rankine 토압이론을 사용하고, 주동토압계수는 0.3, 옹벽 저면과 지반과의 마찰각은 30°, 흙의 단위중량은 20kN/m³, 콘크리트의 단위중량은 25kN/m³, cos30°=0.86이다)

① 1.45
② 1.93
③ 2.42
④ 4.83
난이도 및 평가
난이도 중, 문제자체는 어렵지 않으나 선택지를 보니 숫자가 더럽다 이런것은 바로 넘기고 나중에 푸는것이 좋다.
해설

문 18. 그림과 같이 유한사면 위에 연속구조물이 위치하는 경우 사면의 안전율은?
(단, 가상파괴면 원호의 길이는 15m, 흙의 비배수전단강도는 100kPa이고, 모멘트평형법을 사용한다)

① 1.9 ② 1.7
③ 1.5 ④ 1.1
난이도 및 평가
난이도 중, 기사에서도 나오는 문제이고 숫자도 깔끔한 편이다.
해설

문 19. 다음 그림과 같이 호수바닥 아래 지반(A지점)을 관통하는 지하통로를 설계하려 한다. 바닥면으로부터의 수위가 5m일 때(Case 1)와 물이 불어서 10m로 증가할 때(Case 2) A지점에서의 유효수직응력[kN/m²]은?
(단, 호수바닥 아래 지반에서는 물의 흐름이 없는 정지상태로 가정한다)

Case 1 Case 2
① 50 50
② 5 5
③ 5 50
④ 50 5
난이도 및 평가
난이도 중, 유효응력의 개념을 잘알고있으면 솔직히 눈으로도 계산을 할 수 있는 문제이나, 개념을 확실히 알아라는 좋은문제이다.
해설

지표면 안에서 수위변화가 없다면 유효응력 변화는 없다
문 20. 말뚝의 단위면적당 주면마찰력은 그림과 같은 분포 형태를 가진다. 이 말뚝두부에 축방향 하중이 작용하였을 때, 축방향 하중전이곡선의 형태와 가장 유사한 것은?

난이도 및 평가
난이도 상, 단순한 문제같지만 어려운 문제이다
해설

1번 기준에서는 주면마찰력은 작고 축력은 크다.
2번 기준에서는 주면마찰력은 크고 축력은 작다.
그렇다면 주면마찰력이 서서히 커짐에 따라 축하중이 작아지는것은
3번이다.
728x90
728x90
'7급 토목직 풀이 > 7급 토질역학 문제풀이' 카테고리의 다른 글
| 2015년 국가직 7급 토질역학 6~10번 해설 (0) | 2022.02.28 |
|---|---|
| 2015년 국가직 7급 토질역학 1~5번 해설 (1) | 2022.01.28 |
| 2014년 국가직7급 토질역학 11~15번 해설 (0) | 2022.01.24 |
| 2014년 국가직7급 토질역학 6~10번 해설 (0) | 2022.01.23 |
| 2014년 국가직7급 토질역학 1~5번 해설 (0) | 2022.01.19 |