728x90

광고 한번만 눌러주고 가소~

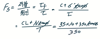
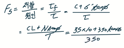
문 1. 그림과 같은 연직사면에서 평면 가상파괴면에 대한 안전율은? (단, N, T는 각각 파괴쐐기 무게에 의한 가상파괴면에 작용하는 수직력 및 활동력이며, 연직사면은 별도의 보강 없이도 자립할 수 있는 것으로 가정한다)

① 1.5 ② 2.0
③ 2.5 ④ 3.0
난이도 및 평가
난이도 하, 어렵지 않다. 그러나 기사에서는 덜 나온다.
해설

※ 사면의 안정해석
활동면을 직선 또는 곡선으로 가정한다
문 2. 비탈면 또는 굴착면의 안정성을 저감시키는 요인으로 옳지 않은 것은? (단, 모든 요인은 영향범위 내에서 변화되는 것으로 고려한다)
① 비탈면 내 지하수위의 상승
② 지진발생에 따른 수평하중의 증가
③ 굴착 후 지반 내 발생된 부의 과잉간극수압(negative excess pore pressure)의 소산
④ 비탈면 내 모관흡수력 증대
난이도 및 평가
난이도 중상, 하나하나 선지를 검토해야하므로 쉽지는 않은 문제이다
해설
1. 비탈면 내 지하수위가 상승할 경우 유효응력이 감소하여 안정성이 낮아진다
2. 지진으로 수평하중 증가시 활동, 전도의 원인이 되어 안정성이 떨어진다.
3. 굴착후 지반 내 부(-)의 과잉간극수압이 소산시 유효응력이 낮아지고 안정성이 떨어지게 된다.
※ 부의 과잉간극수압은 체적팽창(다일러턴시) 시 나타나게 된다
ex) 조밀한 모래, OC(과압밀점토)
4. 모관흡수력이 증가하면 유효응력이 증가한다
문 3. 모래치환법으로 현장밀도시험을 한 결과 원지반을 파낸 구멍의 부피는 2,000cm³이고 파낸 흙의 중량은 33N이며, 함수비는 10%였다. 이 흙의 간극비는? (단, 이 흙의 비중(Gs)은 2.70이고 물의 단위중량은 10kN/m³이다)
① 0.6 ② 0.7
③ 0.8 ④ 0.9
난이도 및 평가
난이도 중, 계산하는 과정이 귀찮기에 중을 준다
해설

문 4. 동상(frost heaving)에 대한 설명으로 옳지 않은 것은?
① 실트질 지반보다 자갈지반에서 동상이 잘 일어난다.
② 아이스렌즈를 형성하기 위한 물의 공급이 충분할수록 동상이 잘 일어난다.
③ 0도 이하 온도의 지속시간이 길수록 동상이 잘 일어난다.
④ 동상은 주로 지표 부근에서 잘 일어난다.
난이도 및 평가
난이도 하, 기사에서도 마르고 닳도록 나오는 문제인데 틀리면 안된다.
해설

1. 영하온도가 지속될 수록
2. 충분한 물의 공급
3. 얼기 쉬운 흙(실트)
문 5. 지반재료의 강성(stiffness)의 특성으로 옳지 않은 것은?
① 모든 지반재료의 강성은 응력경로에 무관하다.
② 사질토에서 구속응력의 증가는 지반 강성을 증가 시킨다.
③ 정규압밀점토의 강성은 변형률 증가와 함께 감소한다.
④ 수평퇴적지층의 경우 대체로 퇴적방향에 따라 강성이 달라지는 이방성특성을 나타낸다.
난이도 및 평가
난이도 중, 기사에서는 안나온다고 보면 된다.
해설
힘을 주면 강성에 따라 변위가 일어나는 정도가 다른데,
응력(힘)에 따라 변위의 크기가 다르기 때문에 응력경로와 무관하지는 않다.
해설이 고마웠다면 광고 하나 누르고 가자.

728x90
728x90
'7급 토목직 풀이 > 7급 토질역학 문제풀이' 카테고리의 다른 글
| 2015년 국가직 7급 토질역학 11~15번 해설 (0) | 2022.03.03 |
|---|---|
| 2015년 국가직 7급 토질역학 6~10번 해설 (0) | 2022.02.28 |
| 2014년 국가직7급 토질역학 16~20번 해설 (0) | 2022.01.25 |
| 2014년 국가직7급 토질역학 11~15번 해설 (0) | 2022.01.24 |
| 2014년 국가직7급 토질역학 6~10번 해설 (0) | 2022.01.23 |