728x90

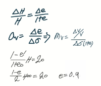
문 6. 그림과 같은 지반에서 지표면에 100kN/m2의 상재하중에 의한 점토층의 1차압밀 침하량이 20cm일 때, 점토층의 1차압밀 완료 후 간극비는? (단, 점토층의 초기간극비 e0는 1.0이며, Terzaghi의 1차원 압밀이론을 적용한다)

① 0.6 ② 0.7
③ 0.8 ④ 0.9
난이도 및 평가
난이도 중, 마르고 닳도록 자주 나오는문제이므로 문제풀이 방법을 외워야한다. 그러나 다양하게 푸는방법 또한 외워야 한다.
해설
※ Terzaghi 압밀이론의 가정
1. 균질
2. 포화
3. 비압축성
4. Darcy 를 만족
5. 1차원 압밀
6. 1차원 흐름


난이도 및 평가
난이도 상, 문제풀이도 오래걸리고 이해해도 어려울수있는 문제이다
해설


300x250

난이도 및 평가
난이도 중, 원형기초 알파 베타 값을 구할줄 알아야한다.
해설

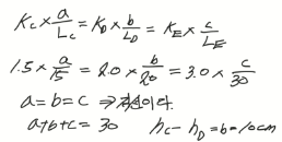
문 9. 지반 내 응력을 평가하기 위한 방법 중 Boussinesq 이론에 대한 설명으로 옳은 것은?
① 탄성론에 근거하고 있으므로 지반 내 깊이에 따른 응력변화는 선형적으로 평가된다.
② 지반응력의 해는 흙의 탄성계수와 무관하다.
③ 탄성론에 근거하고 있으므로, 비균질, 비등방성 지반조건에서 응력을 산정하는 엄밀해로 간주된다.
④ Boussinesq 이론에 의한 수직응력의 산정에는 포아송비가 사용된다.
난이도 및 평가
난이도 중, 가끔가다 2~3년마다 나오는 문제이다 나올 선지들은 항상 정해져있으니 외우면 된다.
해설
※ Boussinesq 토압론의 가정
1. 균질
2. 등방
3. 탄성체

2) 지반응력의 해는 탄성계수와 무관하다

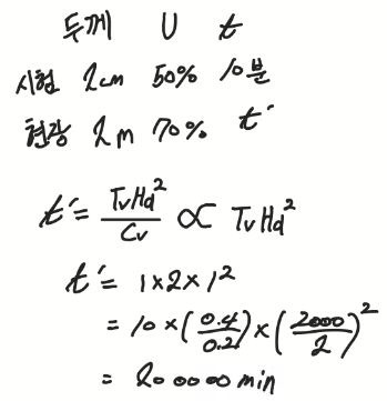
문 10. 두께 2cm인 점토시료에 대한 압밀시험(양면배수) 결과, 평균압밀도 50%의 압밀이 진행되는데 10분(min)이 걸렸다. 동일한 점토층이 자갈층 위에 두께 2m로 놓여있다면(양면배수) 평균압밀도 70%의 압밀이 진행되는데 걸리는 시간[min]은? (단, 현장에서의 초기과잉간극수압 분포는 실내시험과 동일한 것으로 가정하고 평균압밀도 50%와 70%에 해당하는 시간계수는 각각 T50=0.2, T70=0.4로 가정한다)
① 50,000 ② 100,000
③ 200,000 ④ 800,000
난이도 및 평가
난이도 하, 정말 자주나오는 문제이다. 틀리면 안된다.
해설

728x90
728x90
'7급 토목직 풀이 > 7급 토질역학 문제풀이' 카테고리의 다른 글
| 2015년 국가직 7급 토질역학 16~20번 해설 (0) | 2022.03.07 |
|---|---|
| 2015년 국가직 7급 토질역학 11~15번 해설 (0) | 2022.03.03 |
| 2015년 국가직 7급 토질역학 1~5번 해설 (1) | 2022.01.28 |
| 2014년 국가직7급 토질역학 16~20번 해설 (0) | 2022.01.25 |
| 2014년 국가직7급 토질역학 11~15번 해설 (0) | 2022.01.24 |