728x90

문 11. 얕은기초 하부지반의 전단파괴 양상에 대한 설명으로 옳지 않은 것은?
① 지반이 전단파괴가 일어날 때까지 저항할 수 있는 저항력을 극한지지력이라고 한다.
② 기초지반의 전단파괴는 전반전단파괴, 국부전단파괴, 관입전단파괴 등으로 나눌 수 있다.
③ 관입전단파괴는 일반적으로 조밀한 사질토 지반에서 발생하며, 흙의 파괴면은 지표면까지 확산되지 않는다.
④ Terzaghi의 얕은기초 지지력공식은 기초지반의 전반전단파괴를 가정하여 제안된 공식이다.
난이도 및 평가
난이도 중, 파괴양상을 알아야하는데 파괴양상은 크게 3가지로 나뉜다. 공무원시험에서 자주 나오지는않지만 확실히 이해하고 갈필요는 있다.
해설
1) 전반전단파괴시 아래와 같은 식을 가지게 되며 이 저항력을 극한지지력이라고한다

2) 옳은 보기이다
3) 관입전단파괴의 경우 대단히 느슨한 또는 매우연약한, 액상화된 지반에서 발생하며 지반의 융기현상이 생긴다.

4) 옳은 보기이다.~
300x250
문 12. 토압에 대한 설명으로 옳지 않은 것은?
① 일반적으로 과압밀점토의 정지토압계수는 정규압밀점토의 정지토압계수보다 크다.
② 옹벽의 하부에 설치하는 전단키(shear key)는 주동토압을 증가시키는 것이 주목적이다.
③ Coulomb의 토압이론은 흙과 벽체 사이의 마찰을 고려한다.
④ 토압은 지반변형에 따라 변한다.
난이도 및 평가
난이도 하 , 동해물과 백두산이 마르고 닳도록~ 나오는 문제이다
해설

2) 옹벽의 키는 수동토압을 증가시켜 활동 저항력을 만들어낸다.
3) 랭킨토압은 흙과 벽체 사이의 마찰을 고려하지 않는다 하지만 Coulomb토압이론에서는 흙과 벽체사이의 마찰을 고려한다.
4) 토압은 흙의 변위에 따라 변한다.
문 13. 점착력=0, 내부마찰각=30°인 모래질 흙에 대해 구속압 50kPa의 조건에서 배수 삼축압축시험(CD시험)을 실시할 경우, 전단파괴 시 전단파괴면 상의 전단응력[kPa]은? (단, Mohr-Coulomb의 파괴이론을 적용한다)

난이도 및 평가
난이도 하, 동해물과 백두산이 마르고 닳도록~ 나오는 문제이다
해설
<여기서 점착력이 0이라면 정규압밀점토라는 것을 알아야한다>

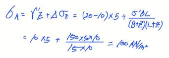
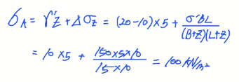
문 14. 그림과 같이 5m×10m의 직사각형 기초 시공으로 인해 사질토 지반위에 150kN/m²의 응력이 작용하고 있다. 응력 증가량을 2:1방법으로 계산할 때, 기초 중앙하부 5m지점에서의 연직유효응력[kN/m²]은? (단, 지하수위는 지표면에 있고 사질토 지반의 포화단위중량은 20kN/m³이며, 물의 단위중량은 10kN/m³이다)

① 40 ② 60
③ 80 ④ 100
난이도 및 평가
난이도 하, 2:1법도 아주 마르고 닳도록 나오는 문제이니 틀리면 안된다.
해설


난이도 및 평가
난이도 상, 이 ESP와 TSP를 보고서 어떤 시험인지 떠오르지 않는다면 힘든 문제이고
TSP와 ESP의 차이가 어떤것인지 알아야 쉽게 풀수있다.
해설


728x90
728x90
'7급 토목직 풀이 > 7급 토질역학 문제풀이' 카테고리의 다른 글
| 2016년 국가직 7급 토질역학 1~5번 해설 (0) | 2022.04.05 |
|---|---|
| 2015년 국가직 7급 토질역학 16~20번 해설 (0) | 2022.03.07 |
| 2015년 국가직 7급 토질역학 6~10번 해설 (0) | 2022.02.28 |
| 2015년 국가직 7급 토질역학 1~5번 해설 (1) | 2022.01.28 |
| 2014년 국가직7급 토질역학 16~20번 해설 (0) | 2022.01.25 |