728x90

문 16. 흙의 전단거동 특성에 대한 설명으로 옳지 않은 것은?
① 일반적으로 느슨한 사질토는 배수 삼축압축시험(CD시험) 중 체적이 지속적으로 감소한다.
② 조밀한 사질토는 압밀 비배수 삼축압축시험(CU시험) 중 간극수압이 감소할 수 있다.
③ 압밀 비배수 삼축압축시험(CU시험) 시 과압밀점토의 거동은 느슨한 사질토의 거동과 유사하다.
④ 상대밀도만 서로 다른 두 사질토 시편에 대해 동일한 구속압 조건의 배수 삼축압축시험(CD시험)을 수행하는 경우, 전단변형이 파괴 이후까지 충분히 커지면 두 시편의 간극비는 거의 같은 값으로 수렴한다.
난이도 및 평가
난이도 중, 아주 자주나오는 문제이므로 선지하나하나를 다 외울정도로 반복해야 하는 문제이다.
해설


1) 느슨한 사질토는 지속적으로 체적이 줄어든다.
2) 느슨한 사질토는 시간이 갈수록 과잉간극수압이 증가한다.
3) 과압밀점토는 조밀한 모래와 거동이 유사하다.
4) 충분한 변형이 발생시 느슨한 모래든 조밀한 모래든 한계 간극비에 도달하게된다.
문 17. 양면배수조건으로 가정한 경우, 점토층의 3년 후 압밀침하량과 최종 압밀침하량이 각각 45cm, 50cm로 예측되었다. 같은 지반에서 배수조건을 일면배수조건으로 가정한다면, 예측되는 3년 후 압밀침하량[cm]과 최종 압밀침하량[cm]은? (단, 평균압밀도 50%, 70%, 82%, 90%에 해당되는 시간계수는 배수조건에 무관하게 각각 T50=0.2, T70=0.4, T82=0.6, T90=0.8로 가정한다)
3년 후 압밀침하량 최종 압밀침하량
① 6.3 25
② 12.5 25
③ 12.5 50
④ 25.0 50
난이도 및 평가
난이도 중상, 당장에는 쉬워보이나 일면배수건 양면배수건 최종압밀침하량이 같다는 포인트를 잡아내지 못하면 어려운 문제이다.
해설

t = Tv Hd² / Cv = 일정 (∵ 둘다 3년후를 가정하였음)
= 0.7 (0.5H)² / Cv = Tv H² / Cv
Tv= 0.2 => U=40%
∴ 3년후 압밀침하량 = 50 x 0.5 = 25cm
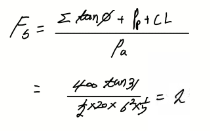
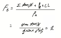
문 18. 그림과 같이 수평으로 뒷채움한 역T형 옹벽에서 활동에 대한 안전율은? (단, 단위폭 당 활동면에 작용하는 뒷채움흙의 무게와 옹벽 무게의 합은 400kN/m, 기초저면과 흙의 마찰각은 31°, 흙의 내부마찰각은 30°, 흙의 점착력은 0, 흙의 습윤단위중량은 20kN/m3, tan 31°=0.6, Rankine토압이론을 적용하며, 지하수위의 영향과 옹벽전면의 수동측 저항력은 무시한다)

① 1.0 ② 1.5
③ 2.0 ④ 2.5
난이도 및 평가
난이도 하 , 아주쉬운 꽁 문제이다. 뭐 저면과 흙의 마찰각 때문에 어려워 보일수 있겠으나 쉬운문제이다.
해설

300x250
문 19. 그림과 같은 옹벽에 작용하는 단위폭 당 전체 주동토압[kN/m]은? (단, Ka1과 Ka2는 지층별 주동토압계수이고 Rankine토압이론을 적용하며, 물의 단위중량은 10kN/m³이다)

① 215 ② 265
③ 315 ④ 365
난이도 및 평가
난이도 하, 그림만 그릴줄 알면 토압도 그려서 금방 푸는 문제이다.
해설

Pa = 0.5 x 18 x 5² x 1/3 + 18 x 5 x 1/5 x 5 + 0.5 x 10 x 5² x 1/5 + 0.5 x 10 x 5²
문 20. 흙의 다짐특성에 대한 설명으로 옳지 않은 것은?
① 흙이 완벽하게 다져졌을 경우 이론적으로는 완전포화상태가 되어 다짐함수비에 따른 건조단위중량이 영공기간극곡선 상에 나타난다.
② 동일한 다짐에너지 조건일 때, 건조측에서는 다짐함수비가 증가할수록 투수계수가 증가하는 경향을 보이며, 최적함수비에서 최대투수계수를 나타낸다.
③ 최적함수비를 중심으로 다짐함수비가 작은 쪽을 건조측, 큰 쪽을 습윤측이라고 하며, 점성토에서는 건조측에서 면모구조, 습윤측에서 이산구조를 보이는 것이 일반적이다.
④ 일반적으로 다짐에너지가 클수록 최적함수비는 감소하고 최대건조단위중량은 증가한다.
난이도 및 평가
난이도 중, 꼭 외워야하는 그래프가 있다 이것을 외우면 쉽다
해설

1) 맞는말이긴 한데 영공기간극곡선 상에 나타날 일은 없다.
2) 건조측에서는 함수비가 증가할수록 투수계수가 감소하며 최적함수비보다 약간 옆에서 최소투수계수를 나타낸다.
3) 맞는 말이다.
4) 맞는말이다.
728x90
728x90
'7급 토목직 풀이 > 7급 토질역학 문제풀이' 카테고리의 다른 글
| 2016년 국가직 7급 토질역학 6~10번 해설 (0) | 2022.04.10 |
|---|---|
| 2016년 국가직 7급 토질역학 1~5번 해설 (0) | 2022.04.05 |
| 2015년 국가직 7급 토질역학 11~15번 해설 (0) | 2022.03.03 |
| 2015년 국가직 7급 토질역학 6~10번 해설 (0) | 2022.02.28 |
| 2015년 국가직 7급 토질역학 1~5번 해설 (1) | 2022.01.28 |