728x90

문 6. 그림과 같이 정규압밀된 점토층 상부에 무한 등분포하중(q=20kN/m²)을 재하하고, 5년 후 A점과 B점의 과잉간극수압은 5kN/m²로 관측되었다. 재하 직후 A점과 B점의 과잉간극수압과 5년 후 압밀도는? (단, 지반은 포화되었으며
지하수위는 지표면과 일치하고 점토의 포화단위중량은 20kN/m²이다)

과잉간극수압[kN/m²] 압밀도[%]
A점 B점 A점 B점
① 20 20 25 25
② 20 20 75 75
③ 10 100 25 25
④ 10 100 75 75
난이도 및 평가
난이도 중, 그림을 보면 고난이도 문제라고 생각이 들 수 있으나 소산된 과잉간극수압을 판단하면 굉장히 쉬운 문제이다.
해설

대충 그림을 그려보면 위와 같다.
처음에는 무한 등분포하중에 의해 수위는 2m만큼 올라올 것이나
5년후 과잉간극수압은 5이므로 0.5m올라오므로 1.5m는 소산된 과잉간극 수압일 것이다.
따라서
재하직후 A점과B점의 과잉간극수압은 20으로 같으며 압밀도는
(1-u/p) x100으로 부터 75%로 같다.
문 7. 토압이론에 대한 설명으로 옳지 않은 것은?
① Coulomb 주동토압은 배면의 활동 파괴면 중 토압이 최소가 되는 파괴면에서 산정된다.
② 옹벽배면이 연직, 배면지반이 수평, 그리고 벽면마찰각을 무시하는 조건에서 Coulomb 토압계수와 Rankine 토압계수는 같다.
③ Rankine 토압이론에서는 흙의 점착력을 고려할 수 있으나 Coulomb 토압이론에서는 고려할 수 없다.
④ Coulomb 수동토압은 배면 파괴면을 직선으로 가정하므로 토압을 과대평가한다.
난이도 및 평가
난이도 중, 아마 지금까지 기출 10번은 넘게 나왔을거라 생각한다. 기사에서도 나오는 문제이니 선지 하나하나를 모두 외우도록 하자.
해설
1) Coulomb 주동토압은 배면활동 파괴면중 토압이 최대(극대)가 되는 파괴면에서 산정이된다.
2) Rankine = Coulomb가 되기 위해서는
1. 옹벽배면이 연직
2. 지표경사 수평
3. 벽마찰 무시
이 세가지 조건이 충족시에 토압계수가 같아진다.
3) Coulomb토압이론은 C=0으로 간주한다
이는 인장균열을 못 구한다는 것과 같다.
4) 랭킨은 주동토압이 크고 쿨롬은 수동토압이 크다. 또한 배면 파괴면을 직선으로 가정하므로 토압을 과대평가한다. 이 말은 그냥 맞다 생각하고 넘어가라.
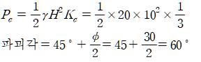
문 8. 균질한 건조모래를 지지하는 벽체가 미소하게 움직이며 주동파괴가 발생하였다. 뒤채움 모래의 마찰각(Φ)은 30°이고 단위중량(γ)은 20kN/m³일 때 Rankine의 주동토압과 파괴각은?


300x250
난이도 및 평가
난이도 중, 개념만 알면 어렵지 않은 문제이다
해설

문 9. 그림과 같은 수리구조물에서 A점의 간극수압[t/m²]은? (단, 물의 단위중량은 1t/m³로 계산한다)

① 5.0 ② 5.5
③ 6.0 ④ 6.5
난이도 및 평가
난이도 하, 기사 수준 문제이다.
해설
A점의 전수두 = 3 x 1/6 = 0.5m
A점의 위치수두 = -6m
A점의 압력수두 = 전수두 - 위치수두 = 0.5m - (-6m) = 6.5m

난이도 및 평가
난이도 하, 당장 그래프보니 뭘까 싶지만 그냥 대입문제이다.
해설

728x90
728x90
'7급 토목직 풀이 > 7급 토질역학 문제풀이' 카테고리의 다른 글
| 2016년 국가직 7급 토질역학 16~20번 해설 (0) | 2022.04.12 |
|---|---|
| 2016년 국가직 7급 토질역학 11~15번 해설 (0) | 2022.04.11 |
| 2016년 국가직 7급 토질역학 1~5번 해설 (0) | 2022.04.05 |
| 2015년 국가직 7급 토질역학 16~20번 해설 (0) | 2022.03.07 |
| 2015년 국가직 7급 토질역학 11~15번 해설 (0) | 2022.03.03 |