728x90

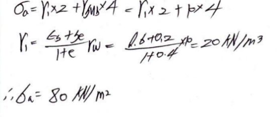
문 16. 그림과 같이 모세관 현상에 의해 지표면까지 50% 포화되었을 때, A점에 작용하는 유효응력[kN/m²]은? (단, 물의 단위중량은10kN/m³이다)

① 50 ② 60
③ 70 ④ 80
난이도 및 평가
난이도 중상, 모세관 상승구간에서는 유효응력이 증가하는지 감소하는지 이해를 하고 가야한다.
해설

문 17. 흙댐에 설치되는 필터재료를 선정할 때, 사용하지 않는 흙의 입경은?
① D15 ② D30
③ D50 ④ D85
난이도 및 평가
난이도 상, 일반적으로 토질역학 배울때에도 잘 안다루고 넘어가므로 난이도가 어렵다.
해설

300x250

난이도 및 평가
난이도 상, Kf라인과 K0라인을 이해를 해야한다. 개념이 복합적으로 얽혀있기때문에 난이도가 높은 문제이다.
해설


문 19. 흙의 다짐에 대한 설명으로 옳지 않은 것은?
① 다짐곡선에서 함수비는 흙 입자에 대한 간극수의 중량비로 정의한다.
② 영공기간극곡선은 모든 공기가 배제된 경우로 이때 포화도는 100%이다.
③ 다짐 시 습윤과정의 순서는 수화, 윤활, 포화, 팽창 단계의 순이다.
④ 일반적으로 최적함수비는 윤활 단계에서 나타난다.
난이도 및 평가
난이도 하, 기사에서도 나오는 문제이고 맨날 나온다. 그러나 3번 선지는 좀 알아두도록 하자
해설
3번은 수화 윤활 팽창 포화 순서이다

난이도 및 평가
난이도 중, 평판재하 시험에서 포화된 점토지반일 경우 극한지지력이 어떻게 될지 알면 쉽다.
해설

728x90
728x90
'7급 토목직 풀이 > 7급 토질역학 문제풀이' 카테고리의 다른 글
| 2017년 국가직7급 토질역학 6~10번 해설 (0) | 2022.05.02 |
|---|---|
| 2017년 국가직7급 토질역학 1~5번 해설 (0) | 2022.04.21 |
| 2016년 국가직 7급 토질역학 11~15번 해설 (0) | 2022.04.11 |
| 2016년 국가직 7급 토질역학 6~10번 해설 (0) | 2022.04.10 |
| 2016년 국가직 7급 토질역학 1~5번 해설 (0) | 2022.04.05 |