728x90

문 11. 평균압밀하중 2kN/m²를 받아 압밀이 종료된 4m 두께의 정규압밀 점토층이 있다. 평균압밀하중을 20kN/m²으로 증가시킬 경우, 예상되는 1차압밀침하 증가량은?

① 0.50m ② 0.55m
③ 0.60m ④ 0.65m
난이도 및 평가
난이도 하, 자주나오는 문제이다. 공식을 알고있으면 어려울게 전혀 없다.
해설

문 12. 압밀에 대한 설명으로 옳지 않은 것은?
① 2차 압축지수는 간극비-압밀압력 곡선에서 직선부의 기울기이다.
② 1차 압밀침하를 계산할 때는 흙 입자와 물을 모두 비압축성으로 가정한다.
③ 일반적으로 소성성이 큰 점토일수록 2차압밀이 더 크게 나타난다.
④ 이론적으로 동일한 점토지반에서 상재압의 크기에 관계없이 압밀도 50%에 도달하는 시간은 일정하다.
난이도 및 평가
난이도 하, 위의 문제와 똑같은 문제이다. 선지 하나하나를 다 외워두도록 하자.
해설
2차 압축지수는 시간-간극비 곡선의 기울기이다.

300x250
문 13. 직접전단시험에 대한 설명으로 옳지 않은 것은?
① 전단파괴면이 미리 정해져 있다.
② 전단 진행에 따라 진행성파괴(progressive failure)가 발생할 우려가 있다.
③ 배수조건 조절과 시험 중 간극수압의 측정이 어렵다.
④ 시험 중 전단면에서의 응력은 일정하게 유지된다.
난이도 및 평가
난이도 중, 2번 선지 빼고는 무난한 선지들이다.
해설
1~4번을 몇단어로 해설하면 된다.
직접전단을 할때 면에서 취약한부분이 먼저 파괴된다 → 파괴되면서 저항하는 면적이 감소된다 → 응력이 증가한다
= 진행성파괴가 일어난다.
문 14. 그림과 같이 지하수위가 무한사면 지표면에 위치할 때, 무한사면의 안전율은? (단, 물의 단위중량은 10kN/m³이다)

① 1.33 ② 1.67
③ 2.00 ④ 2.33
난이도 및 평가
난이도 하, 1~2년에 한번씩은 꼭나오는 문제이니까 챙겨두자. 공식만 외워두면 틀릴수가 없다.
해설

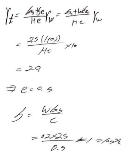
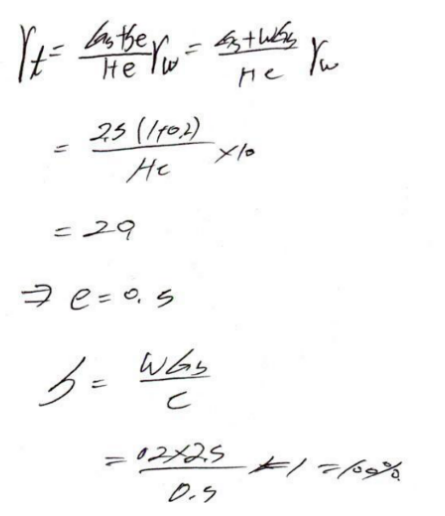
문 15. 전체단위중량이 20kN/m³, 함수비가 20%, 비중이 2.5인 흙의 포화도는? (단, 물의 단위중량은 10kN/m³이다)
① 85% ② 90%
③ 95% ④ 100%
난이도 및 평가
난이도 중, 간극비는 외워두지만 포화도를 잊고가는 친구들이 많다. S도 확실히 알아두도록 하자
해설

728x90
728x90
'7급 토목직 풀이 > 7급 토질역학 문제풀이' 카테고리의 다른 글
| 2018년 국가직7급 토질역학 1~5번 해설 (0) | 2022.08.04 |
|---|---|
| 2017년 국가직7급 토질역학 16~20번 해설 (0) | 2022.06.07 |
| 2017년 국가직7급 토질역학 6~10번 해설 (0) | 2022.05.02 |
| 2017년 국가직7급 토질역학 1~5번 해설 (0) | 2022.04.21 |
| 2016년 국가직 7급 토질역학 16~20번 해설 (0) | 2022.04.12 |