728x90


난이도 및 평가
난이도 하, 자주나오는 문제이고 랭킨토압과 쿨롬토압에 관한 개념은 필수로 숙지해야한다.
해설
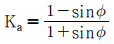
1) 주동토압계수는

이므로 파이가 증가하면 주동토압은 감소하게 되어있다.
2)

그림을 보면 수동파괴면은 수평에 대하여 45-Φ/2 를 이루고 랭킨 주동파괴면은 45+Φ/2의 각을 이룬다.
3) 벽체의 변위가 발생 후 흙의 거동이 생긴 후에 주동 또는 수동통압이 발현된다.
4) 맞는말이다
문 17. 흙의 다짐에 대한 설명으로 옳지 않은 것은?
① 양족롤러는 점성토 지반을, 진동롤러는 사질토 지반을 다질 때 효과적이다.
② 점토는 함수비가 최적함수비보다 작은 건조측에서 다져질 경우 분산구조를 가진다.
③ 동다짐 공법의 지반개량심도는 추의 무게와 낙하고 등에 주로 영향을 받는다.
④ 일반적으로 시료의 세립분 함량이 증가할수록 최대건조단위중량은 감소하고, 최적함수비는 증가한다.
난이도 및 평가
난이도 중 , 기사에서도 가끔 나오는 문제이지만 암기 문제이다. 하지만 롤러의 그림을 안다면 유추하기가 쉽다.
해설


1) 양족롤러 생긴거보자 뾰족한 부분들이 있다 흙을 꾸욱 짜내서 물을 빼낸다, 진동롤러는 흙을 흔들어서 흙 사이의 공기를 빼낸다
2)

3) 맞는말이고 지반개량심도는 보정계수와 무게, 높이에 의해 영향을 받는다
4) 맞는말이다.
문 18. 그림과 같이 일정한 수위가 유지되면서 물이 토사층을 통과하여 하부로 흘러갈 때, 토사층 상단 A점과 하단 B점에서의 유효응력의 차는? (단, 흙의 포화단위중량은 20kN/m³이며, 물의 단위중량은 10kN/m³이다)

① 50kN/m² ② 95kN/m²
③ 140kN/m² ④ 185kN/m²
난이도 및 평가
난이도 상, 비슷한 문제를 풀어보면 쉬울수도 있지만 이해하는 과정이 어렵다.
해설

문 19. 말뚝기초에 대한 설명으로 옳지 않은 것은?
① 말뚝은 시공방법에 따라 크게 타입말뚝, 매입말뚝, 현장타설말뚝 등으로 구분할 수 있다.
② 일반적으로 한계(극한)주면마찰력이 발현되기 위한 말뚝의 침하량은 극한선단지지력이 발현되기 위한 말뚝의 침하량보다 작다.
③ 타입말뚝은 항타관입 시 소음 및 진동이 많이 발생하며, 일반적으로 동일한 직경 및 크기를 가지는 매입말뚝의 지지력보다 작다.
④ 연약지반에 설치된 말뚝은 지하수위가 저하되면 부주면 마찰력이 발생할 수 있다.
난이도 및 평가
난이도 중, 이해도하고 암기도 해야하는 문제이다.
해설
타입말뚝은 항타입 시 소음 및 진동이 많이 발생하는것은 맞으나, 매입말뚝보다 지지력이 크다.
때려박는게 지지력이 크겠냐 땅파놓고 말뚝 심는게 튼튼하겠나..
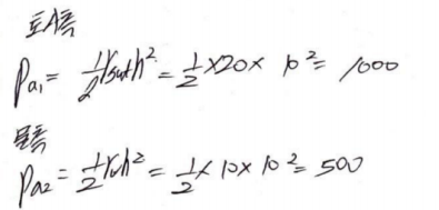
문 20. 그림과 같이 지진으로 인하여 호안에 설치된 중력식 옹벽의 배면지반에 액상화가 발생하고 진동이 끝난 후에도 액상화 상태가 유지될 때, 진동이 끝난 후 옹벽 양쪽 연직면에 작용하는 수평력의 차는?
① 0 ② 166kN/m
③ 250kN/m ④ 500kN/m
난이도 및 평가
난이도 상, 지진이 발생 했을때 수평력에 대한 개념이 없으면 실수 하기 쉽다.
해설
지진 후 액상화 발생 시 토압은 수중단위중량으로 계산하지 않고 Ka를 고려하지 않는다

728x90
728x90
'7급 토목직 풀이 > 7급 토질역학 문제풀이' 카테고리의 다른 글
| 2018년 국가직7급 토질역학 6~10번 해설 (0) | 2022.08.07 |
|---|---|
| 2018년 국가직7급 토질역학 1~5번 해설 (0) | 2022.08.04 |
| 2017년 국가직7급 토질역학 11~15번 해설 (0) | 2022.05.03 |
| 2017년 국가직7급 토질역학 6~10번 해설 (0) | 2022.05.02 |
| 2017년 국가직7급 토질역학 1~5번 해설 (0) | 2022.04.21 |